

Hãy luôn nhớ cảm ơn và vote 5*
nếu câu trả lời hữu ích nhé!
`@Enami Asa`
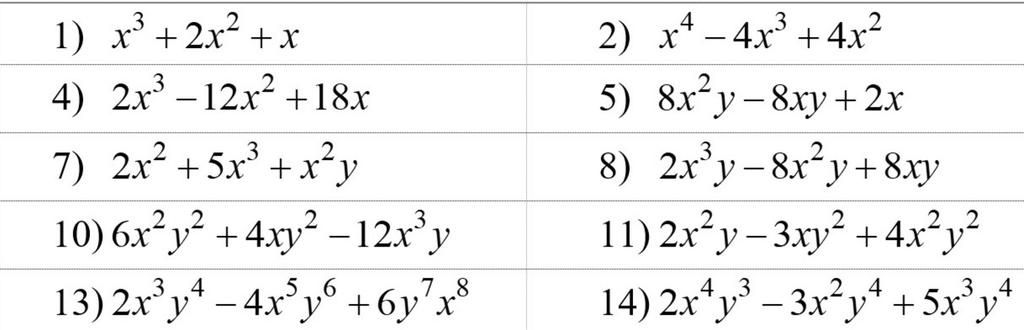
`1,`
`x^3+2x^2+x`
`=x(x^2+2x+1)`
`=x(x+1)^2`
`2,`
`x^4+4x^3+4x^2`
`=x^2(x^2+4x+4)`
`=x^2(x+2)^2`
`4,`
`2x^3-12x^2+18x`
`=2x(x^2-6x+9)`
`=2x(x-3)^2`
`5,`
`8x^2y-8xy+2x`
`=2x(4xy-4y+1)`
`7,`
`2x^2+5x^3+x^2y`
`=x^2(2+5x+y)`
`8,`
`2x^3y-8x^2y+8xy`
`=2xy(x^2-4xy+4)`
`10,`
`6x^2y^2+4xy^2-12x^3y`
`=2xy(3xy+2y-6x^2)`
`11,`
`2x^2y-3xy^2+4x^2y^2`
`=xy(2x-3y+4xy)`
`13,`
`2x^3y^4-4x^5y^6+6y^7x^8`
`=2x^3y^4(1-2x^2y^2+3y^3x^5)`
`14,`
`2x^4y^3-3x^2y^4+5x^3y^4`
`=x^2y^2(2x^2y-3y^2+5xy^2)`
Hãy giúp mọi người biết câu trả lời này thế nào?

Giải thích các bước giải:
`1)x^3+2x^2+x=x(x^2+2x+1)=x(x+1)^2`
`2)x^4-4x^3+4x^2=x^2(x^2-4x+4)=x^2(x-2)^2`
`4)2x^3-12x^2+18x=2x(x^2-6x+9)=2x(x-3)^2`
`5)8x^2y-8xy+2x=2x(4xy-4y+1)`
`7) 2x^2 +5x^3+x^2y=x^2(2+5x+y)`
`8)2x^3y-8x^2y+8xy=2xy(x^2-4x+4)=2xy(x-2)^2`
`10)6x^2y^2+4xy^2-12x^3y=2xy(3xy+2y-6x^2)`
`11)2x^2y-3xy^2+4x^2y^2=xy(2x-3y+4xy)`
`13)2x^3y^4-4x^5y^6+6y^7z^8=2x^3y^4(1-2x^2y^2+3x^5y^3)`
`14)2x^4y^3-3x^2y^4+5x^3y^4=x^2y^3(2x^2-3y+5xy)`
Hãy giúp mọi người biết câu trả lời này thế nào?

Bảng tin
5924
112864
4667
..
5924
112864
4667
sửa
1243
364
1106
`8,` `=2xy(x^2-4x+4)` `=2xy(x-2)^2
5924
112864
4667
dò lại xem