Đăng nhập để hỏi chi tiết


Hãy luôn nhớ cảm ơn và vote 5*
nếu câu trả lời hữu ích nhé!
Đáp án:`+`Giải thích các bước giải:
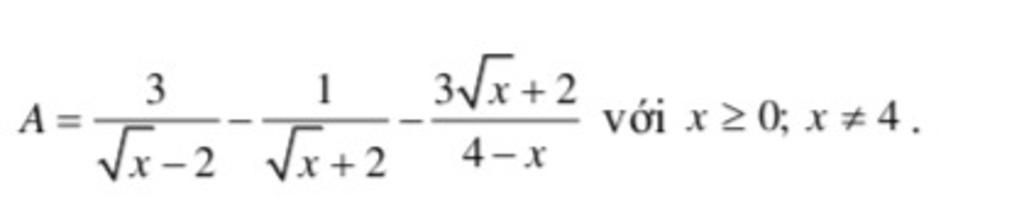
` A= 3/(\sqrtx-2) -1/(\sqrtx+2) - (3\sqrtx+2)/(4-x) `
`x>=0 ; x ne 4`
`= [3(\sqrtx+2)]/(x-4) - (\sqrtx-2)/(x-4) + (3\sqrtx+2)/(x-4)`
`= (3\sqrtx +6 -\sqrtx +2+3\sqrtx +2)/(x-4)`
`= ( 5\sqrtx +10)/(x-4)`
`=[5(\sqrtx+2)]/[(\sqrtx-2)(\sqrtx+2)]`
`=5/(\sqrtx-2)`
Vậy `A= 5/(\sqrtx -2)` với `x>=0 ; x ne 4`
Hãy giúp mọi người biết câu trả lời này thế nào?
![]()
Bảng tin