

Số sánh a và biết
a, (n²+1)×a-1< (n²+1)×b-1
b, (n²+2n+2) × a nhỏ hơn hoặc bằng (n²+2n+2) × b
c, (1/n -1) ×a > (1/n-1) × b
Hãy luôn nhớ cảm ơn và vote 5*
nếu câu trả lời hữu ích nhé!
Đáp án:
Giải thích các bước giải:
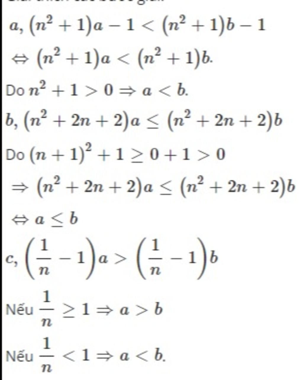
`a, (n^2+1)a - 1 < (n^2+1)b - 1`
`<=> (n^2+1)a<(n^2+1)b`.
Do `n^2 + 1 > 0 => a < b`.
`b, (n^2 + 2n + 2)a <= (n^2 + 2n +2)b`
Do `(n+1)^2 + 1 >= 0 + 1 > 0`
`=> (n^2+2n+2)a <= (n^2+2n+2)b`
`<=> a <= b`
`c, (1/n - 1)a > (1/n-1)b`
Nếu `1/n >= 1 => a > b`
Nếu `1/n < 1 => a < b`.
Hãy giúp mọi người biết câu trả lời này thế nào?
![]()
Bảng tin
0
15
0
Mình cảm ơn ạ
1093
1456
871
Vâng.