

Một hỗn hợp gồm propin, propilen và etan. Đốt cháy hoàn toàn 18,4 gam hỗn hợp thì thu được 25,2 gam nước. Mặt khác 11,2 lít hỗn hợp (đktc) có thể làm mất màu tối đa 320 gam dd Br2 20%. Tính % thể tích mỗi khí có trong hỗn hợp.
Hãy luôn nhớ cảm ơn và vote 5*
nếu câu trả lời hữu ích nhé!
Đáp án+ Giải thích các bước giải: Bạn tham khảo hình nhé
Hãy giúp mọi người biết câu trả lời này thế nào?

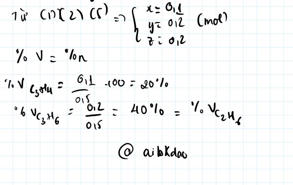
`(**)` Gọi số mol `C_3H_4,C_3H_6,C_2H_6` trong `18,4` gam hỗn hợp là `a,b,c(mol)`
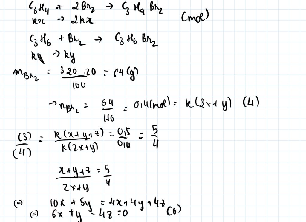
Ta có : `40a+42b+30c=18,4(1)`
`n_{H_2O}=(25,2)/(18)=1,4(mol)`
Bảo toàn `H:4a+6b+6c=1,4.2(2)`
`(**)` Gọi số mol `C_3H_4,C_3H_6,C_2H_6` trong `11,2(l)` hỗn hợp là `ak,bk,ck(mol)`
`n_{hh}=(11,2)/(22,4)=0,5(mol)`
`=>k(a+b+c)=0,5(3)`
`n_{Br_2}=(320.20\%)/(160)=0,4(mol)`
`=>k(2a+b)=0,4(4)`
Lấy `(3)` chia cho `(4)` vế với vế :
`=>(a+b+c)/(2a+b)=(0,5)/(0,4)=1,25`
`=>a+b+c=2,5a+1,25b`
`=>1,5a+0,25b-c=0(5)`
Từ (1),(2),(5):
`=>a=0,1;b=0,2;c=0,2(mol)`
Phần trăm thể tích cũng là phần trăm số mol:
`n_{hh}=0,1+0,2+0,2=0,5(mol)`
`\%V_{C_3H_4}=(0,1)/(0,5).100\%=20\%`
`\%V_{C_3H_6}=(0,2)/(0,5).100\%=40\%`
`\%V_{C_2H_6}=(0,2)/(0,5).100\%=40\%`
Hãy giúp mọi người biết câu trả lời này thế nào?

Bảng tin