

Hãy luôn nhớ cảm ơn và vote 5*
nếu câu trả lời hữu ích nhé!
Đáp án`+`Giải thích các bước giải:
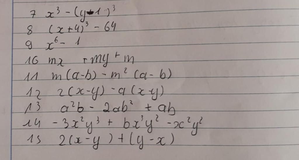
` 7) `
` x^3 - ( y - 1 )^3 `
` = ( x - y + 1 )[ x^2 + x( y - 1 ) + ( y - 1 )^2 ] `
` = ( x - y + 1 )( x^2 + xy - x + y^2 - 2y + 1 ) `
` 8) `
` ( x + 4 )^3 - 64 `
` = ( x + 4 - 4 )[ ( x + 4 )^2 + 4( x + 4 ) + 4^2 ] `
` = x( x^2 + 4x + 4 + 4x + 16 + 16 ) `
` = x( x^2 + 8x + 36 ) `
`9) `
` x^6 - 1 `
` = ( x^2 - 1 )( x^4 + x^2 + 1 ) `
` = ( x + 1 )( x - 1 )( x^4 + x^2 + 1 ) `
` 10) `
` mx + my + m `
` = m( x + y + 1 ) `
` 11) `
` m( a - b ) - m^2 ( a - b ) `
` = ( a - b )( m - m^2 ) `
` = m( a - b )( 1 - m ) `
` 12) `
` 2( x - y ) - a( x - y ) `
` = ( x - y )( 2 - a ) `
` 13) `
` a^2b - 2ab^2 + ab `
` = ab( a - 2b + 1 ) `
` 14) `
` -3x^2y^3 + bx^3y^2 - x^2y^2 `
` = x^2y^2 ( -3y + bx - 1 ) `
` 15) `
` 2( x - y ) + ( y - x ) `
` = 2( x -y ) - ( x - y ) `
` = ( x - y )( 2 - 1 ) `
` = x - y `
Hãy giúp mọi người biết câu trả lời này thế nào?
Bảng tin