

Hãy luôn nhớ cảm ơn và vote 5*
nếu câu trả lời hữu ích nhé!
`#Aridoto`
`a.`
`{(x(y+5)+2y=xy+y),((3x+1)(2y-1)=6xy):}`
`⇔{(xy+5x+2y=xy+y),(6xy-3x+2y-1=6xy):}`
`⇔{(5x+y=0),(3x-2y=-1):}`
`⇔{(10x+2y=0),(3x-2=-1):}`
`⇔{(13x=-1),(5x+y=0):}`
`⇔{(x=-1/13),(5xx(-1/13)+y=0):}`
`⇔{(x=-1/13),(y=5/13):}`
Vậy hệ phương trình có cặp nghiệm `(x;y)=(-1/13;5/13)`
`b.`
`{(2(x-1)-3(y+2)=5(x+y)-17),(4(x+3)-(y-2)=y-2+6x):}`
`⇔{(2x-2-3y-6=5x+5y-17),(4x+13-y+2=y-2+6x):}`
`⇔{(3x+8y=9),(2x+2y=17):}`
`⇔{(3x+8y=9),(3x+3y=51/2):}`
`⇔{(5y=-33/2),(2x+2y=17):}`
`⇔{(y=-33/10),(2x+2xx(-33/10)=17):}`
`⇔{(x=59/5),(y=-33/10):}`
Vậy hệ phương trình có cặp nghiệm `(x;y)=(59/5;-33/10)`
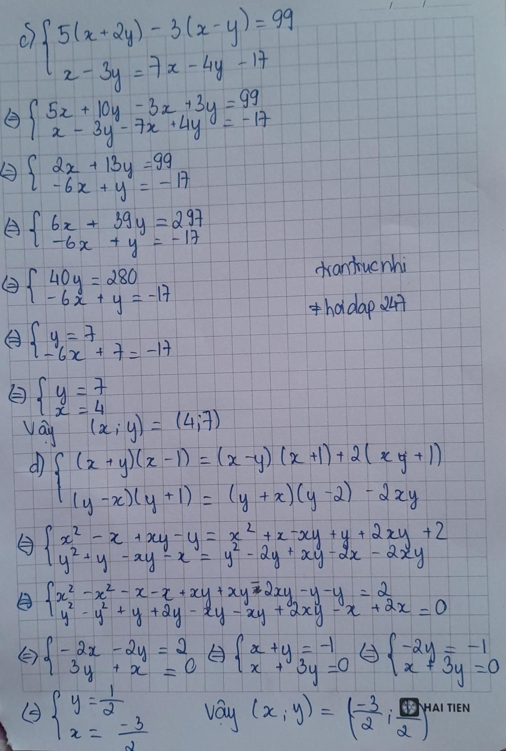
`c.`
`{(5(x+2y)-3(x-y)=99),(x-3y=7x-4y-17):}`
`⇔{(5x+10y-3x+3y=99),(6x-y=17):}`
`⇔{(2x+13y=99),(78x-13y=221):}`
`⇔{(80x=320),(6x-y=17):}`
`⇔{(x=4),(6xx4-y=17):}`
`⇔{(x=4),(y=7):}`
Vậy hệ phương trình có cặp nghiệm `(x;y)=(4;7)`
`d.`
`{((x+y)(x-1)=(x-y)(x+1)+2(xy+1)),((y-x)(y+1)=(y+x)(y-2)-2xy):}`
`⇔{(x^2+xy-x-y=x^2-xy+x-y+2xy+2),(y^2-xy+y-x=y^2+xy-2y-2x-2xy):}`
`⇔{(x^2-x^2+xy+xy-2xy-x-x-y+y=2),(y^2-y^2-xy-xy+2xy-x+2x+y+3y=0):}`
`⇔{(-2x=2),(x+3y=0):}`
`⇔{(x=-1),(-1+3y=0):}`
`⇔{(x=-1),(y=1/3):}`
Vậy hệ phương trình có cặp nghiệm `(x;y)=(-1;1/3)`
Hãy giúp mọi người biết câu trả lời này thế nào?
![]()
Bảng tin
0
5
0
câu a sai đề câu b tính sai r bạn ơi =))))
2863
46114
1524
Vâng để mình sửa, cảm ơn ạ