Đăng nhập để hỏi chi tiết


Hãy luôn nhớ cảm ơn và vote 5*
nếu câu trả lời hữu ích nhé!
Đáp án + Giải thích các bước giải:
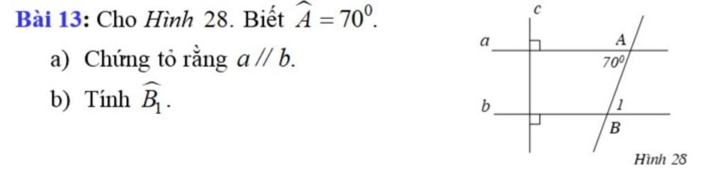
a)`a \bot c`
`b \bot c`
`=> a //// b`
b) `a //// b`
`=> \hat{A} = \hat{B_1} = 70^o` (`2` góc so le trong)
`#PChii`
Hãy giúp mọi người biết câu trả lời này thế nào?
Bảng tin
1
4
1
gt là j vậy ạ
10
748
5
giả thuyết
1
4
1
cảm ơn ạaaaa