

Hãy luôn nhớ cảm ơn và vote 5*
nếu câu trả lời hữu ích nhé!
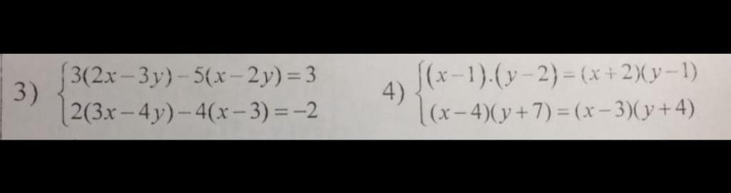
`3,`
$\begin{cases} 3(2x-3y)-5(x-2y)=3\\2(3x-4y)-4(x-3)=-2\\\end{cases}$
`<=>` $\begin{cases} 6x-9y-5x+10y=3\\6x-8y-4x+12=-2\\\end{cases}$
`<=>` $\begin{cases} x+y=3\\2x-8y=-14\\\end{cases}$
`<=>` $\begin{cases} 2x+2y=6\\2x-8y=-14\\\end{cases}$
`<=>` $\begin{cases} 10y=20\\2x-8y=-14\\\end{cases}$
`<=>` $\begin{cases} y=2\\2x-8.2=-14\\\end{cases}$
`<=>` $\begin{cases} y=2\\x=1\\\end{cases}$
Vậy HPT có nghiệm `(x;y)=(1;2)`
`4,`
$\begin{cases} (x-1)(y-2)=(x+2)(y-1)\\(x-4)(y+7)=(x-3)(y+4)\\\end{cases}$
`<=>` $\begin{cases} xy-2x-y+2=xy-x+2y-2\\xy+7x-4y-28=xy+4x-3y-12\\\end{cases}$
`<=>` $\begin{cases} x+3y=4\\3x-y=16\\\end{cases}$
`<=>` $\begin{cases} 3x+9y=12\\3x-y=16\\\end{cases}$
`<=>` $\begin{cases} 10y=-4\\3x-y=16\\\end{cases}$
`<=>` $\begin{cases} y=-\dfrac{2}{5}\\3x+\dfrac{2}{5}=16\\\end{cases}$
`<=>` $\begin{cases} y=-\dfrac{2}{5}\\x=\dfrac{26}{5}\\\end{cases}$
Vậy HPT có nghiệm `(x;y)=(26/5;-2/5)`
`#TD`
Hãy giúp mọi người biết câu trả lời này thế nào?
Bảng tin