

giúp emmmmmmmmmmmmmmmmmmmm
Hãy luôn nhớ cảm ơn và vote 5*
nếu câu trả lời hữu ích nhé!
Đáp án:
Giải thích các bước giải:
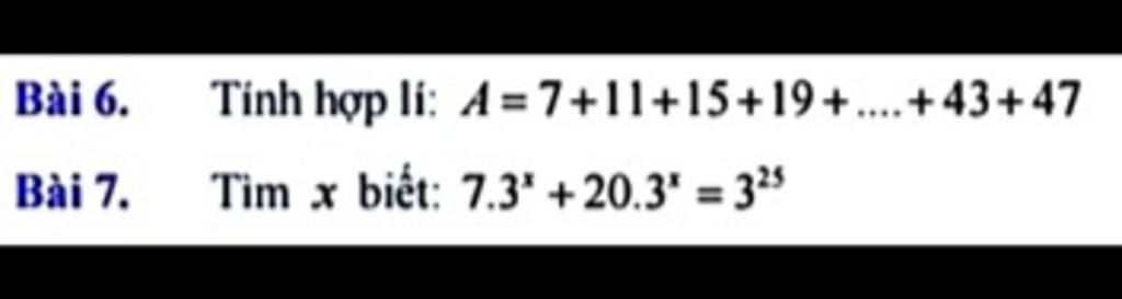
` A = 7 + 11 + 15 + . . . + 47 `
` A = { ( 47 + 7 ) . [ ( 47 - 7 ) : 4 + 1 ] } : 2 `
` A = 297 `
Bài ` 7 ` :
` 7 . 3^x + 20 . 3^x = 3^25 `
` 3^x . ( 7 + 20 ) = 3^25 `
` 3^x . 27 = 3^25 `
` 3^x . 3^3 = 3^25 `
` 3^x = 3^22 `
` => x = 2 2 `
Hãy giúp mọi người biết câu trả lời này thế nào?
`A=7+11+15+19+...+43+47`
Số số hạng:
`(47-7):4+1=11` `(ssh)`
Tổng:
`(47+7)×11:2=297`
Vậy, `A=297`
_______________________________
`b) 7. 3^x+20 .3^x=3^25`
`3^x (7+20)=3^25`
`3^x . 3^3=3^25`
`3^x=3^25 : 3^3`
`3^x= 3^(25-3)`
`3^x=3^22`
`=> x=22`
Vậy, `x=22`
Hãy giúp mọi người biết câu trả lời này thế nào?

Bảng tin