

Hãy luôn nhớ cảm ơn và vote 5*
nếu câu trả lời hữu ích nhé!
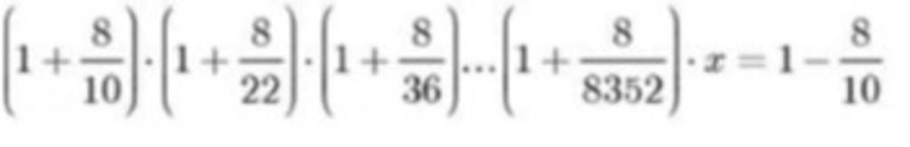
Đáp án + Giải thích các bước giải:
Ta có:(1 + $\frac{8}{10}$) . (1 + $\frac{8}{22}$) . (1 + $\frac{8}{36}$) .....(1 + $\frac{8}{8352}$) . x = 1 - $\frac{8}{10}$
⇒ $\frac{18}{10}$ . $\frac{30}{22}$ . $\frac{44}{36}$ ..... $\frac{8360}{8352}$ . x = $\frac{1}{5}$
⇒ $\frac{2.9.3.10.4.11.....88.95}{1.10.2.11.3.12.....87.96}$ . x = $\frac{1}{5}$
⇒ $\frac{(2.3.4.....88) . (9.10.11.....95)}{(1.2.3.....87) . (10.11.12.....96)}$ . x = $\frac{1}{5}$
⇒ $\frac{33}{4}$x = $\frac{1}{5}$
⇒ x = $\frac{4}{165}$
Vậy x = $\frac{4}{165}$
Hãy giúp mọi người biết câu trả lời này thế nào?

$\color{pink }{\text{~Quynh-Anh~}}$
`(1+8/10)(1+8/22)+(1+8/36)...(1+8/8352).x=1-8/10`
`18/10 . 30/22 . 44/36 . ... .8360/8352 .x=1/5`
`(2.9.3.10.4.11....88.95)/(1.10.2.11.3.12...87.96) .x =1/5`
`((2.3.4...88)(9.10.11...95))/((1.2.3...87)(10.11.12....96)) x =1/5`
`(88xx9)/(1xx96) .x=1/5`
`33/4 . x=1/5`
`x=1/5 : 33/4`
`x=4/165`
Hãy giúp mọi người biết câu trả lời này thế nào?

Bảng tin
25
12767
13
mk lm rồi ah, mong bn tick giúp mk. mk c.ơn ah
0
241
0
r nhé
25
12767
13
vânng ah