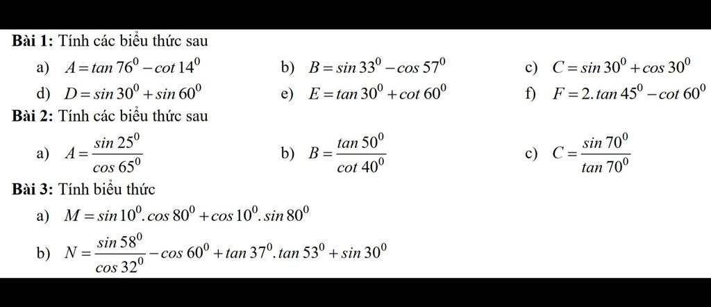
Bài 1: Tính các biểu thức sau
a) A-tan 76°-cot 14°
b)
B=sin 33°-cos 57°
d) D=sin 30° + sin 60°
c)
C=sin 30° + cos 30º
e)
Bài 2: Tính các biểu thức sau
E=tan 30° + cot 60°
f)
F2.tan 45°
-cot 60º
sin 250
a) A=.
COS 65º
b) B=
tan 50º
Bài 3: Tính biểu thức
a) M=sin 10°.cos 80° + cos 10°.si ...
Xem thêm