Vui lòng chỉ chọn một câu hỏi
Hoidap247.com Nhanh chóng, chính xác
+
Danh mục mới
1240
16045
1227
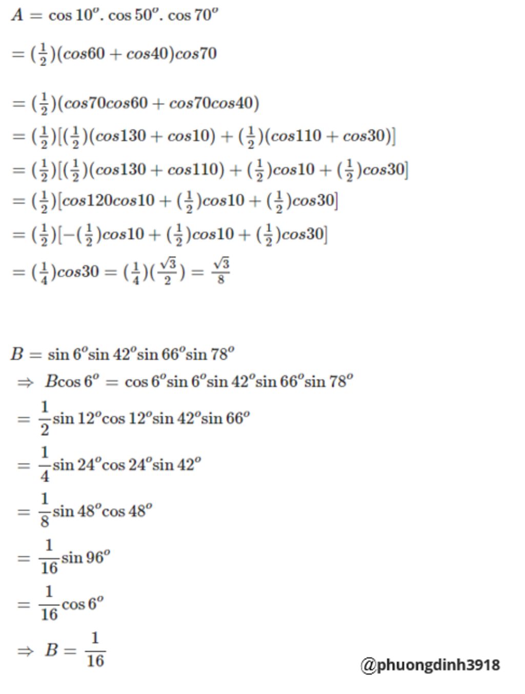
Tính : ( áp dụng công thức nhân )
`A = cos10^o . cos50^o . cos70^o`
`B = sin6^o . sin42^o . sin66^o . sin78^o`
Hãy luôn nhớ cảm ơn và vote 5* nếu câu trả lời hữu ích nhé!
35
455
10
Đáp án:
Giải thích các bước giải:
Hãy giúp mọi người biết câu trả lời này thế nào?
Bảng tin
Gửi yêu cầu Hủy