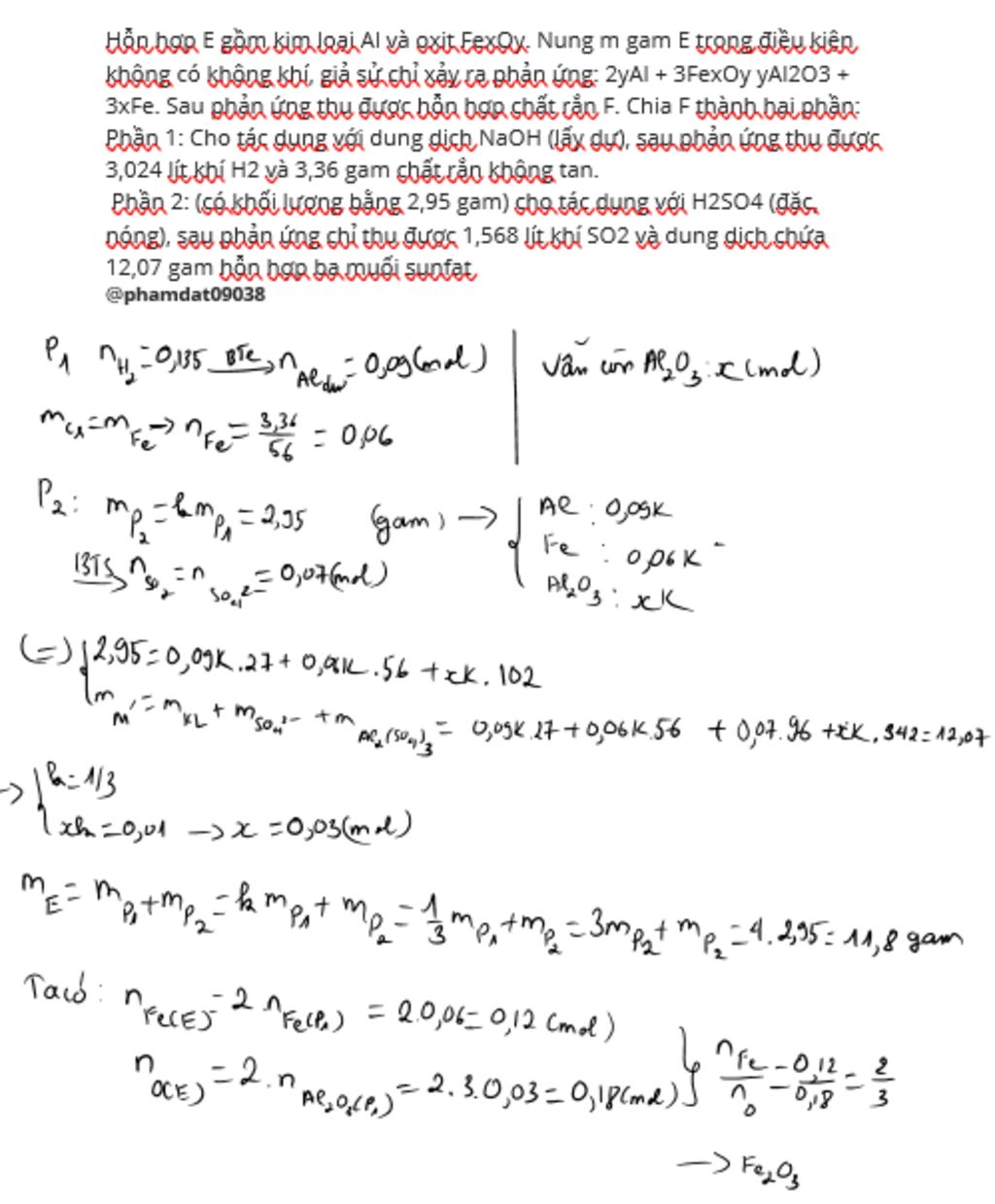
Bài 1: Hỗn hợp E gồm kim loại Al và oxit FexOy. Nung m gam E trong điều kiện không có không khí, giả sử chỉ xảy ra phản ứng: 2yAl + 3FexOy yAl2O3 + 3xFe. Sau phản ứng thu được hỗn hợp chất rắn F. Chia F thành hai phần: Phần 1: Cho tác dụng với dung dịch NaOH (lấy dư), sau phản ứng thu được 3,024 lít khí H2 và 3,36 gam chất rắn không tan. Phần 2: (có khối lượng bằng 2,95 gam) cho tác dụng với H2SO4 (đặc, nóng), sau phản ứng chỉ thu được 1,568 lít khí SO2 và dung dịch chứa 12,07 gam hỗn hợp ba muối sunfat. Biết các phản ứng xảy ra hoàn toàn và thể tích các khí đo ở đktc. a) Tính m. b) Xác định công thức phân tử của oxit FexOy.
75
930
39
ko hiểu chỗ nào bạn cứ hỏi
0
482
0
bạn học đội tuyển à