

cho a,b,c thỏa mãn đồng thời a+b+c=6 và a^2+b^2+c^2=12. Tính giá trị biểu thức P=(a-3)^2023+(b-3)^2023+(c-3)^2023
Hãy luôn nhớ cảm ơn và vote 5*
nếu câu trả lời hữu ích nhé!
Đáp án:
Giải thích các bước giải:
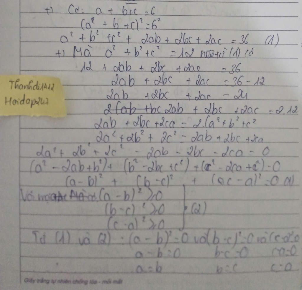
`(a+b+c)= 6`
`<=> (a+b+c)^2 = 36`
`<=> a^2 + b^2 + c^2 + 2ab + 2bc + 2ca = 36`
`<=> 2ab + 2bc + 2ca = 24`
`<=> ab + bc + ca = 12`
`<=> ab + bc + ca = a^2 + b^2 + c^2`.
`<=> 2(ab+bc+ca) = 2(a^2 + b^2 + c^2)`
`<=> 2ab + 2bc + 2ca = 2a^2 + 2b^2 + 2c^2`
`<=> a^2 -2ab + b^2 + b^2 - 2bc + c^2 + c^2 - 2ca + a^2 = 0`
`<=> (a-b)^2 + (b-c)^2 + (c-a)^2 = 0`
`<=> a = b = c` (Do `(a-b)^2, (b-c)^2, (c-a)^2 >=0 forall a, b, c in RR`)
mà `a + b + c = 6`.
`=> a = b = c = 2.`
`=> P = (2-3)^2023 + (2-3)^2023 + (2-3)^2023`
`= (-1)^2023 + (-1)^2023 + (-1)^2023`
`= -3`.
Hãy giúp mọi người biết câu trả lời này thế nào?
![]()
Bảng tin
0
218
0
Mình hơi thắc mắc dòng 10 2ab+2bc+2ac=2a^2+2b^2+2c^2 =>2ab+2bc+2ac-2a^2-2b^2-2c^2=0 =>-a^2+2ab-b^2-a^2+2ac-c^2-b^2+2ac-c^2=0 =>-(a^2-2ab+b^2)-(a^2-2ac+c^2)-(b^2-2ac+c^2)=0 =>-(a-b)^2-(a-c)^2-(b-c)^2=0
0
218
0
Bạn ghi là (a-b)^2+(a-c)^2+(b-c)^2=0 nên mình kbt mình có đổi sai j k
1093
1441
871
Như nhau cả bạn ạ, `-(a-b)^2 - (b-c)^2 - (c-a)^2 = 0` `<=> -((a-b)^2 + (b-c)^2 + (c-a)^2) = 0` `<=> (a-b)^2 + (b-c)^2 + (c-a)^2 = 0`
0
218
0
Phải để luôn + hay để - cx đc hả bạn
1093
1441
871
Mình chuyển vế sang thì mình làm cộng, còn nếu bạn thích làm trừ thì cũng được, chả sao cả, nó vẫn về trừ bình phương hay bình phương của tất cả cái đó `= 0` là dc ạ.
0
218
0
Ok camon bạn.