

Hãy luôn nhớ cảm ơn và vote 5*
nếu câu trả lời hữu ích nhé!
Đáp án:
Giải thích các bước giải:
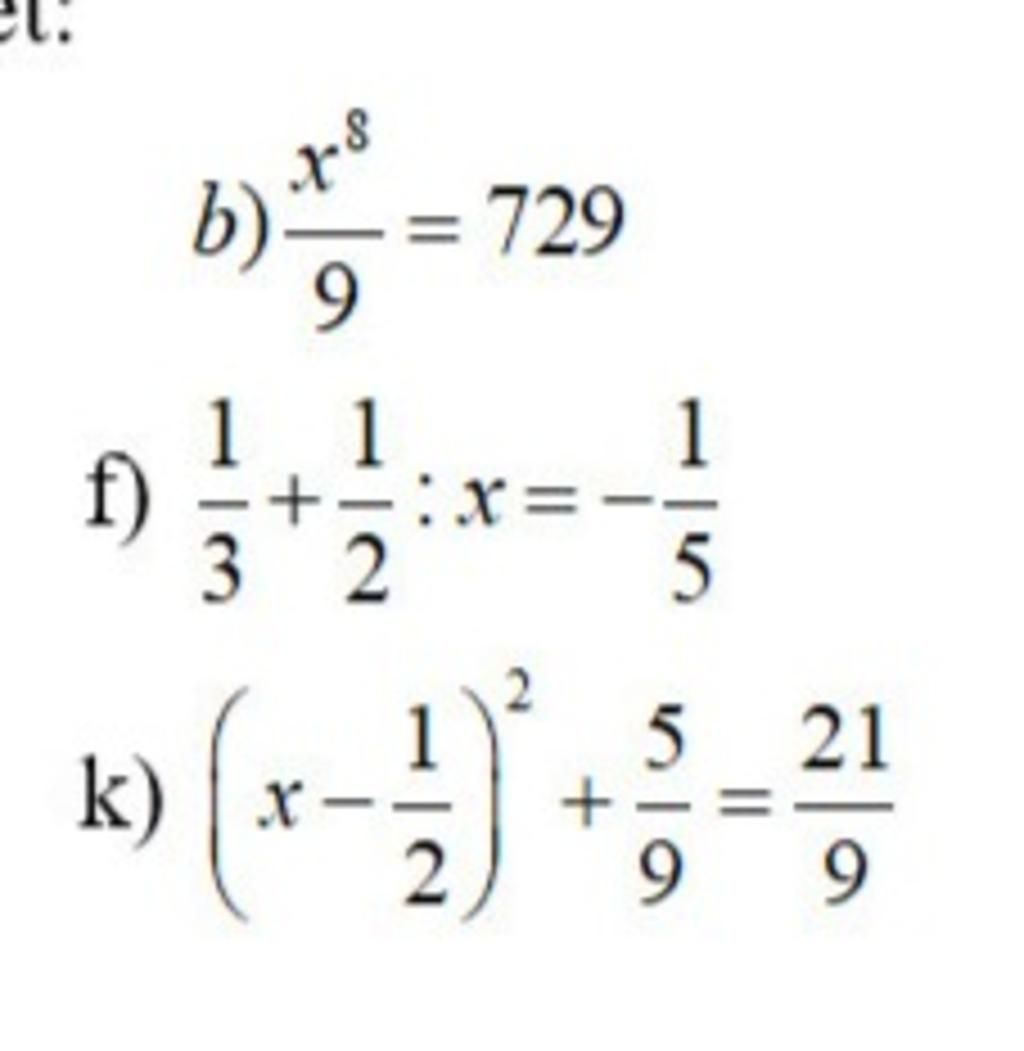
`x^8/9 = 729`
`<=> x^8 = 729 . 9`
`<=> x^8 = 3^6 . 3^2`
`<=> x^8 = 3^8`
`<=> x = 3`.
Vậy `x = 3`.
`1/3 + 1/2 : x = -1/5`
`<=> 1/2 : x = -1/5 - 1/3`
`<=> 1/2 : x = -8/15`
`<=> x = 1/2 : (-8)/15`
`<=> x = -15/16.`
Vậy `x= -15/16`.
`(x-1/2)^2 + 5/9 = 21/9`
`<=> (x-1/2)^2 = 16/9`
`<=> x - 1/2 = 4/3` hoặc `x - 1/2 = -4/3`
`<=> x = 4/3 + 1/2` hoặc `x = -4/3 + 1/2`
`<=> x = 11/6` hoặc `x = -5/6`.
Vậy `x = 11/6` hoặc `x = -5/6`.
Hãy giúp mọi người biết câu trả lời này thế nào?
Đáp án+Giải thích các bước giải:
`b; (x^8)/9 = 729`
`=> x^8 = 729 . 9`
`=> x^8 = 3^8`
`=> x = 3 hoặc x = -3`
` Vậy x in { 3 ; -3 }`
`f; 1/3 +1/2: x = -1/5`
`=> 1/2 : x = 2/15`
`=> x = 15/4`
` Vậy x = 15/4`
`k; ( x - 1/2 )^2 + 5/9 = 21/9`
`=> ( x - 1/2 )^2 = 16/9`
`=> x - 1/2 = 4/3 hoặc x- 1/2 = -4/3`
`=> x = 11/6 hoặc x = -5/6`
` Vậy x in { 11/6 ; -5/6 }`
Hãy giúp mọi người biết câu trả lời này thế nào?
A ơi, 21/7 chiến bất là s a :)?
bất khả thi á
liệu có nổi k a :)
ko sao làm cái chơi chơi test năng lực
:))
cố lên 500c là ok r
ừm
Bảng tin
0
-23
0
dạo
1093
1441
871
Ai hỏi?
0
-23
0
:v chảnh v
1093
1441
871
Thích gây sự chú ý đến mức phải làm z hả b?