

Hãy luôn nhớ cảm ơn và vote 5*
nếu câu trả lời hữu ích nhé!
`***`$\color{#1c1c1c}{\text{t}}$$\color{#363636}{\text{r}}$$\color{#4f4f4f}{\text{u}}$$\color{#696969}{\text{m}}$$\color{#828282}{\text{t}}$$\color{#9c9c9c}{\text{td}}$
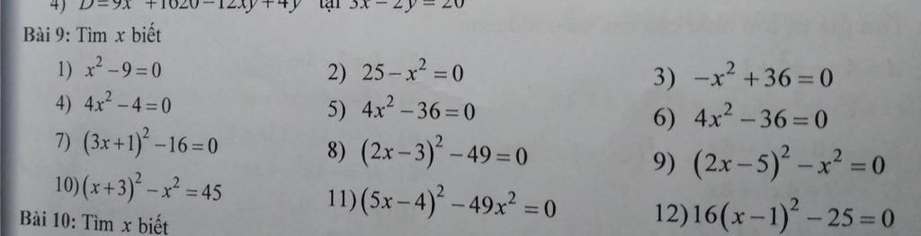
`x^2-9=0`
`x^2=9`
`x=+-3`
`---`
`25-x^2=0`
`-x^2=-25`
`x^2=25`
`x=+-5`
`---`
`-x^2+36=0`
`-x^2=-36`
`x^2=36`
`x=+-6`
`---`
`4x^2-4=0`
`4x^2=4`
`x^2=1`
`x=+-1`
`---`
`4x^2-36=0`
`4x^2=36`
`x^2=9`
`x=+-3`
`---`
`4x^2-36=0`
`4x^2=36`
`x^2=9`
`x=+-3`
`---`
`(3x+1)^2-16=0`
`(3x+1)^2=16`
`=>3x+1=4` hoặc `3x+1=-4`
`=>x=1` hoặc `x=-\frac{5}{3}`
`---`
`(2x-3)^2-49=0`
`(2x-3)^2=49`
`=>2x-3=7` hoặc `2x-3=-7`
`=>x=5` hoặc `x=2`
`---`
`(2x-5)^2-x^2=0`
`3x^2-20x+25=0`
`3x^2-20x=-25`
`\frac{3x^2-20x}{3}=\frac{-25}{3}`
`x^2-\frac{20x}{3}=-\frac{25}{3}`
`(x-\frac{10}{3})^2=\frac{25}{9}`
`=>x-\frac{10}{3}=5/3` hoặc `x-\frac{10}{3}=-5/3`
`=>` `x=5` hoặc `x=5/3`
`---`
`(x+3)^2-x^2=45`
`6x+9=45`
`6x=36`
`x=6`
`---`
`(5x-4)^2-49x^2=0`
`-24x^2-40x+16=0`
`-24x^2-40x=-16`
`\frac{-24x^2-40x}{-24}=\frac{-16}{-24}`
`x^2+\frac{5x}{3}=\frac{2}{3}`
`(x+\frac{5}{6})^2=\frac{49}{36}`
`=>x+\frac{5}{6}=7/6` hoặc `x+\frac{5}{6}=-7/6`
`=>x=1/3` hoặc `x=-2`
`---`
`16(x-1)^2-25=0`
`16(x-1)^2=25`
`(x-1)^2=\frac{25}{16}`
`=>x-1=5/4` hoặc `x-1=-5/4`
`=>x=9/4` hoặc `x=-1/4`
Hãy giúp mọi người biết câu trả lời này thế nào?
![]()
Bài `9:`
`1)`
`x^2-9=0`
`<=>x^2=9`
`<=>x=3` hoặc `x=-3`
Vậy `x∈{3;-3}`
`2)`
`25-x^2=0`
`<=>x^2=25`
`<=>x=5` hoặc `x=-5`
Vậy `x∈{5;-5}`
`3)`
`-x^2+36=0`
`<=>-x^2=-36`
`<=>x^2=36`
`<=>x=6` hoặc `x=-6`
Vậy `x∈{6;-6}`
`4)`
`4x^2-4=0`
`<=>4x^2=4`
`<=>x^2=1`
`<=>x=1` hoặc `x=-1`
Vậy `x∈{1;-1}`
`5)`
`4x^2-36=0`
`<=>4x^2=36`
`<=>x^2=9`
`<=>x=3` hoặc `x=-3`
Vậy `x∈{3;-3}`
`6)`
`4x^2-36=0`
`<=>4x^2=36`
`<=>x^2=9`
`<=>x=3` hoặc `x=-3`
Vậy `x∈{3;-3}`
`7)`
`(3x+1)^2-16=0`
`<=>(3x+1)^2=16`
`<=>(3x+1)^2=4^2` hoặc `(3x+1)^2=(-4)^2`
`<=>3x+1=4` hoặc `3x+1=-4`
`<=>3x=3` hoặc `3x=-5`
`<=>x=1` hoặc `x=-5/3`
Vậy `x∈{1;-5/3}`
`8)`
`(2x-3)^2-49=0`
`<=>(2x-3)^2=49`
`<=>(2x-3)^2=7^2` hoặc `(2x-3)^2=(-7)^2`
`<=>2x-3=7` hoặc `2x-3=-7`
`<=>2x=10` hoặc `2x=-4`
`<=>x=5` hoặc `x=-2`
Vậy `x∈{5;-2}`
`9)`
`(2x-5)^2-x^2=0`
`<=>(2x-5-x)(2x-5+x)=0`
`<=>(x-5)(3x-5)=0`
`<=>x-5=0` hoặc `3x-5=0`
`<=>x=5` hoặc `x=5/3`
Vậy `x∈{5;5/3}`
`10)`
`(x+3)^2-x^2=45`
`<=>x^2+6x+9-x^2-45=0`
`<=>(x^2-x^2)+6x=45-9`
`<=>6x=36`
`<=>x=6`
Vậy `x=6`
`11)`
`(5x-4)^2-49x^2=0`
`<=>(5x-4)^2-(7x)^2=0`
`<=>(5x-4-7x)(5x-4+7x)=0`
`<=>(-2x-4)(12x-4)=0`
`<=>-2x-4=0` hoặc `12x-4=0`
`<=>-2x=4` hoặc `12x=4`
`<=>x=-2` hoặc `x=1/3`
Vậy `x∈{-2;1/3}`
`12)`
`16(x-1)^2-25=0`
`<=>16(x^2-2x+1)-25=0`
`<=>16x^2-32x+16-25=0`
`<=>16x^2-32x-9=0`
`<=>16x^2-36x+4x-9=0`
`<=>4x(4x-9)+(4x-9)=0`
`<=>(4x-9)(4x+1)=0`
`<=>4x-9=0` hoặc `4x+1=0`
`<=>4x=9` hoặc `4x=-1`
`<=>x=9/4` hoặc `x=-1/4`
Vậy `x∈{9/4;-1/4}`
`#owen`
Hãy giúp mọi người biết câu trả lời này thế nào?
![]()
Bảng tin
1069
3226
499
Sửa câu `8` : `x=5` hoặc `x=-2`