

Mọi ng giúp em vs ạ !!!
Hãy luôn nhớ cảm ơn và vote 5*
nếu câu trả lời hữu ích nhé!
Đáp án:
Giải thích các bước giải:
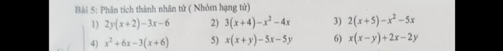
`a, 2y(x+2) - 3x - 6`
`=2y(x+2) - 3(x+2)`
`=(2y-3)(x+2)`
`b, 3(x+4) - x^2 - 4x`
`= 3(x+4) - x(x+4)`
`=(3-x)(x+4)`
`c, 2(x+5) - x^2 - 5x`
`= 2(x+5) - x(x+5)`
`=(2-x)(x+5)`
`d, x^2 + 6x - 3(x+6)`
`= x(6+x) - 3(x+6)`
`= (x-3)(x+6)`
`e, x(x+y) - 5x - 5y`
`= x(x+y) - 5(x+y)`
`=(x-5)(x+y)`
`f, x(x-y) + 2x - 2y`
`=x(x-y) + 2(x-y)`
`= (x+2)(x-y)`.
Hãy giúp mọi người biết câu trả lời này thế nào?

Đáp án `+` Giải thích các bước giải:
`1)` `2y(x+2)-3x-6`
`=2y(x+2)-3(x+2)`
`=(x+2)(2y-3)`
`2)` `3(x+4)-x^2 -4x`
`=3(x+4)-x(x+4)`
`=(x+4)(3-x)`
`3)` `2(x+5)-x^2 -5x`
`=2(x+5)-x(x+5)`
`=(x+5)(2-x)`
`4)` `x^2 +6x-3(x+6)`
`=x(x+6)-3(x+6)`
`=(x+6)(x-3)`
`5)` `x(x+y)-5x-5y`
`=x(x+y)-5(x+y)`
`=(x+y)(x-5)`
`6)` `x(x-y)+2x-2y`
`=x(x-y)+2(x-y)`
`=(x-y)(x+2)`
Hãy giúp mọi người biết câu trả lời này thế nào?

Bảng tin