

giải giúp tớ với ạaaaaaaaaaaaaaa
Hãy luôn nhớ cảm ơn và vote 5*
nếu câu trả lời hữu ích nhé!
Đáp án:
Giải thích các bước giải:
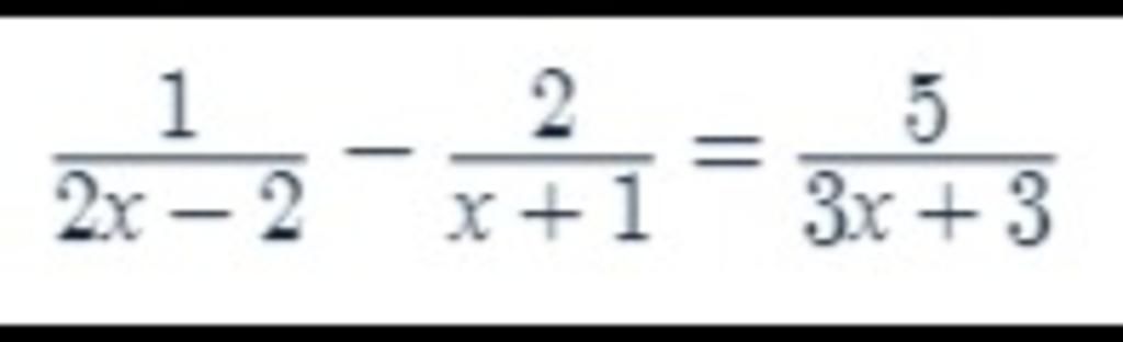
`1/(2x-2) - 2/(x+1) = 5/(3x+3)` `(x` $\ne$ `1;-1)`
`<=>1/(2(x-1)) - 2/(x+1) = 5/(3(x+1))`
`<=>(3(x+1))/(6(x^2-1)) - (12(x-1))/(6(x^2 -1)) = (10(x-1))/(6(x^2-1))`
`<=>3(x+1) - 12(x-1) = 10(x-1)`
`<=>3x+3-12x+12=10x-10`
`<=>3x-12x-10x=-10-3-12`
`<=>-19x=-25`
`<=>x=(25)/(19)` (tm)
Vậy `S={(25)/(19)}`
Hãy giúp mọi người biết câu trả lời này thế nào?

Đáp án:
Giải thích các bước giải:
`1/(2x - 2 )- 2/( x + 1 ) = 5/( 3x + 3 )`( đk `x \ne +-1)`
`<=>1/( 2(x-1 )) - 2/( x+ 1 ) = 5/(3(x+1))`
`<=>(3( x + 1 ))/(6( x - 1 )( x + 1 )) - ( 12( x - 1 ))/(6( x - 1 )( x + 1 ) = (10( x - 1 ))/(6( x - 1 )( x + 1 ))`
`<=> 3( x + 1 ) - 12( x - 1 ) = 10( x- 1 )`
`<=>3x + 3 - 12x + 12 = 10x - 10`
`<=>-9x + 15 = 10x - 10`
`<=>-19x = -25`
`<=>x = 25/19(tmđk)`
Vậy `S = {25/19}`
`~nhungan~`
Hãy giúp mọi người biết câu trả lời này thế nào?

Bảng tin
