

Hãy luôn nhớ cảm ơn và vote 5*
nếu câu trả lời hữu ích nhé!
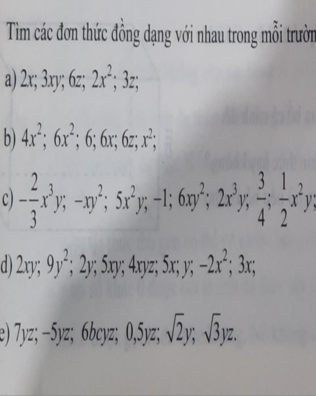
Các đơn thích đồng dạng là:
$a)6z;3z$
$b)4x^{2};$ $6x^{2};$ $x^{2}$
$c)$`@`$-\frac{2}{3}$ $x^{3}y$; $2x^{3}y$
`@`$5x^{2}y$;$\frac{1}{2}$$x^{2}y$
`@`$-xy^{2}$; $6xy^{2}$
$d)2xy;5xy$
$2y,y$
$5x;3x$
$e)7yz;-5yz;\sqrt{3}xy;0,5yz$
*lưu ý:đơn thức đồng dạng là đươi thức có phần biến giống nhau và khác 0
VD:$2y,y$
Hãy giúp mọi người biết câu trả lời này thế nào?
![]()
`#290409`
Các đơn thức đồng dạng trong trường hợp `:`
`a,` `6z` và `3z`
`b,` `4x^2 ; 6x^2` và `x^2`
`c,`
`1,` `-2/3x^3y` và `2x^3y `
`2,` `-xy^2` và `6xy^2`
`3,` `5x^2y` và `1/2x^2y`
`d,`
`1,` `2xy` và `5xy`
`2,` `2y` và `y`
`3,` `5x` và `3x`
`e,` `7yz ; -5yz ; 0,5yz` và `\sqrt{3}yz`
`**` Kiến thức cần nhớ `:` Đơn thức đồng dạng là `2` đơn thức có hệ số khác `0` và phần biến giống nhau
Hãy giúp mọi người biết câu trả lời này thế nào?
![]()
Bảng tin
1319
13355
1671
cho tớ xin hay nhất đc k