Đăng nhập để hỏi chi tiết


Hãy luôn nhớ cảm ơn và vote 5*
nếu câu trả lời hữu ích nhé!
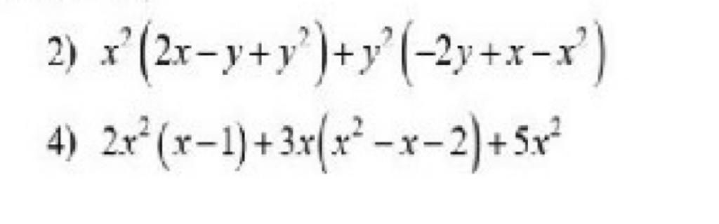
`2) x^2(2x - y + y^2) + y^2(-2y + x - x^2)`
`= 2x^3 - x^2y + x^2y^2 - 2y^3 + xy^2 - x^2y^2`
`= 2x^3 - 2y^3 - xy^2 - x^2y`
`3) 2x^2(x - 1) + 3x(x^2 - x - 2) + 5x^2`
`= 2x^3 -2x^2 + 3x^3 - 3x^2 - 6x + 5x^2`
`= 5x^3 - 6x`
Hãy giúp mọi người biết câu trả lời này thế nào?
Bảng tin
4035
5385
2514
cậu ơi
4035
5385
2514
câu `2`
4035
5385
2514
ko phải là `x^2y`