

giải pt ạ
kjhgfdssdfghjklkjhgfđ
Hãy luôn nhớ cảm ơn và vote 5*
nếu câu trả lời hữu ích nhé!
Đáp án:
Giải thích các bước giải:
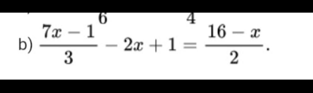
`b) (7x-1)/3 - 2x + 1 = (16-x)/2 `
` ⇒ 2(7x-1) - 6 ( 2x- 1 ) = 3(16-x) `
`⇔ 14x - 2 - 12x + 6 = 48 - 3x `
` ⇔ 2x + 4 = 48 - 3x `
`⇔ 5x = 44 `
`⇔ x = 44/5 `
Vậy `S = { 44/5 } `
Hãy giúp mọi người biết câu trả lời này thế nào?

`b)`
`(7x-1)/3-2x+1=(16-x)/2`
`(2(7x-1))/6-(6(2x+1))/6=(3(16-x))/6`
`(14x-2)/6-(12x+6)/6=(48-3x)/6`
`14x-2-12x-6=48-3x`
`2x+4=48-3x`
`2x+3x=48-4`
`5x=44`
`x=44/5`
Vậy `S={44/5}`
Hãy giúp mọi người biết câu trả lời này thế nào?

Bảng tin
1135
324
1162
sao 2x + 1 xuống dưới lại thành 2x - 1 ạ?
3264
765
2058
có dấu trừ ` -2x + 1 = - ( 2x - 1 ) `
1135
324
1162
dạ em cảm ơn ạ
3264
765
2058
kcj