

Hãy luôn nhớ cảm ơn và vote 5*
nếu câu trả lời hữu ích nhé!
Đáp án`+`Giải thích các bước giải:
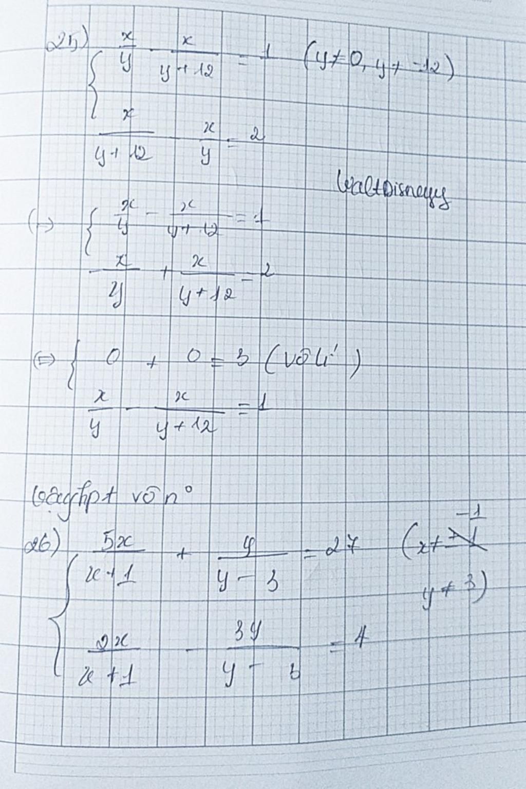
`25,` ĐK:`y \ne 0,y \ne -12`
Đặt `{(x/y = a),(x/(y +12) =b ):}`
Khi đó hệ phương trình trở thành:
`{(a - b = 1),(b - a = 2):}`
`<=> {(0 = 3 (\text{vô lí})),(a - b = 1):}`
`=>` không tìm được `a;b` thỏa mãn
`=>` không tồn tại `x;y` thỏa mãn
`=>` hệ phương trình vô nghiệm
Vậy hệ phương trình vô nghiệm
`26,` ĐK:`x \ne -1;y \ne 3`
Đặt `{(x/(x + 1) =a),(y/(y - 3) =b ):}`
Khi đó hệ phương trình trở thành:
`{(5a+ b = 27),(2a - 3b = 4):}`
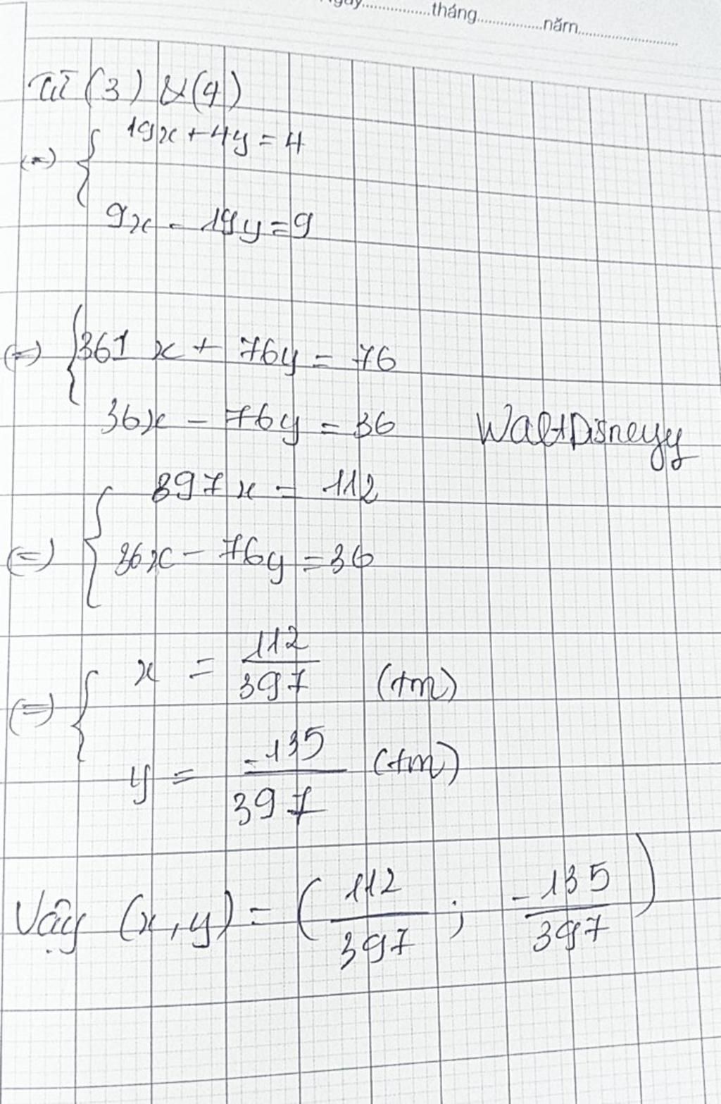
`<=> {(10a + 2b = 54),(10a - 15b = 20):}`
`<=> {(17b = 34),(2a -3b =4):}`
`<=> {( b = 2),(2a -3.2 = 4):}`
`<=> {(b =2),(2a = 10):}`
`<=> {(b = 2),(a= 5):}`
`<=> {(y/(y - 3) = 2),(x/(x +1) =5):}`
`<=> {(y = 2y -6),(x = 5x + 5):}`
`<=> {(y =6),(4x= -5):}`
`<=> {(y =6),(x= (-5)/4):} (\text{tm})`
Vậy hệ phương trình có nghiệm duy nhất là `(x;y) =(-5/4;6)`
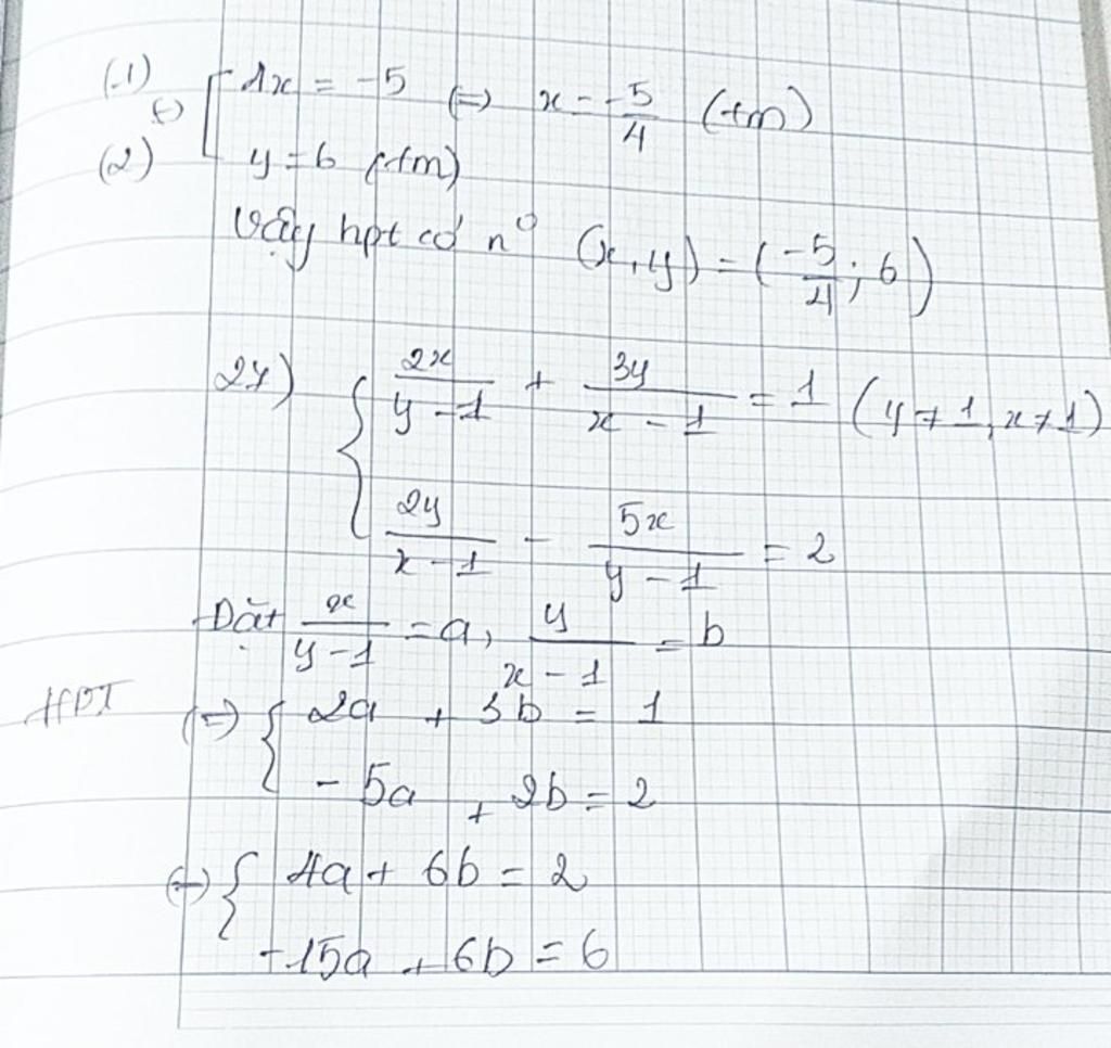
`27,` ĐK:`x;y \ne 1`
Đặt `{(x/(y - 1) =a),(y/(x - 1) =b):}`
Khi đó hệ phương trình trở thành:
`{(2a + 3b = 1),(2b - 5a =2):}`
`<=> {(4a + 6b = 2),(-15a+ 6b = 6):}`
`<=> {(19a = -4),(2a +3b = 1):}`
`<=> {(a = (-4)/(19)),(2. (-4)/(19) + 3b =1):}`
`<=> {(a = (-4)/(19)),(3b = (27)/(19)):}`
`<=> {(a = (-4)/(19)),(b = 9/(19)):}`
`<=> {(x/(y - 1) = (-4)/(19)),(y/(x- 1) = 9/(19)):}`
`<=> {(19x = -4y + 4),(19y = 9x- 9):}`
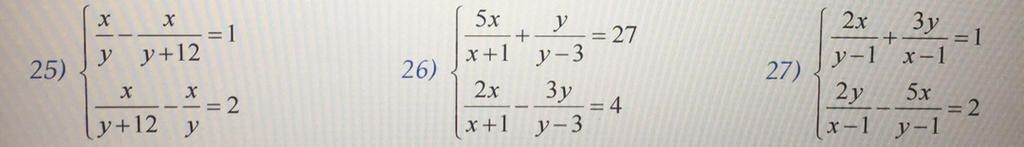
`<=> {(19x +4y = 4),(9x -19y = 9):}`
`<=> {(361x +76y = 76),(36x - 76y = 36):}`
`<=> {(397x = 112),(19x + 4y= 4):}`
`<=> {(x = (112)/(397)),(19 . (112)/(397) + 4y = 4):}`
`<=> {(x = (112)/(397)),(y = (-135)/(397)):}`
Vậy hệ phương trình có nghiệm duy nhất là `(x;y) = ((112)/(397);(-135)/(397))`
`***`sharksosad
Hãy giúp mọi người biết câu trả lời này thế nào?
Bảng tin
2034
17088
2206
chỉ vì 5 điểm mà thổ huyết :))
2034
17088
2206
nói thé thì chịu rou :))))
2034
17088
2206
e cãi nhau với ai à ;-;
2034
17088
2206
à bt r :vv
2034
17088
2206
cj gửi link cho e
2034
17088
2206
qua face i