

Hãy luôn nhớ cảm ơn và vote 5*
nếu câu trả lời hữu ích nhé!
Đáp án+Giải thích các bước giải:
Bài tập `1:`
`a,`
`5x(x-1)-(1-x)=0`
`<=>5x(x-1)+(x-1)=0`
`<=>(x-1)(5x+1)=0`
`<=>[(x-1=0),(5x+1=0):}`
`<=>[(x=1),(x=-1/5):}`
Vậy pt có tập nghiệm `S={-1/5;1}`
`b,`
`2x(x+5)-2(5+x)=0`
`<=>(x+5)(2x-2)=0`
`<=>[(x+5=0),(2x-2=0):}`
`<=>[(x=-5),(x=1):}`
Vậy pt có tập nghiệm `S={-5;1}`
`c,`
`x^2(x-1)+4(x-1)=0`
`<=>(x-1)(x^2+4)=0`
`<=>[(x-1=0),(x^2+4=0):}`
`<=>[(x=1),( x^2=-4(vô lí) ):}`
Vậy pt có tập nghiệm `S={1}`
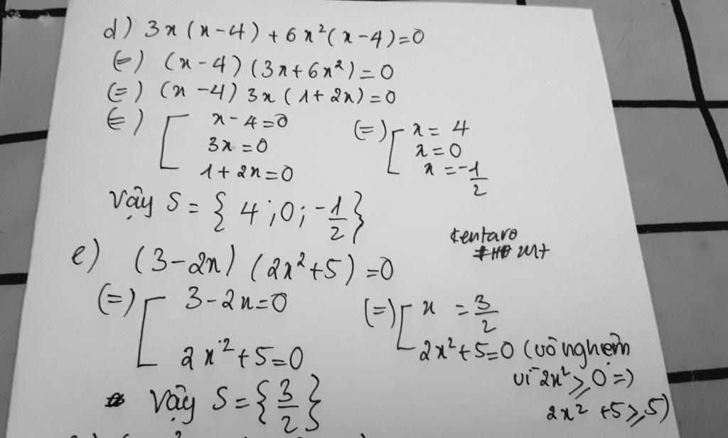
`d,`
`3x(x-4)+6x^2(x-4)=0`
`<=>(3x+6x^2)(x-4)=0`
`<=>3x(1+2x)(x-4)=0`
`<=>[(3x=0),(1+2x=0),(x-4=0):}`
`<=>[(x=0),(x=-1/2),(x=4):}`
Vậy pt có tập nghiệm `S={0,-1/2;4}`
`e,`
`(3-2x)(2x^2+5)=0`
`<=>[(3-2x=0),(2x^2+5=0):}`
`<=>[(x=3/2),( 2x^2=-5(vô lí) ):}`
Vậy pt có tập nghiệm `S={3/2}`
`f,`
`(3x^2-12x)(x^3+27)=0`
`<=>3x(x-4)(x^3+27)=0`
`<=>[(3x=0),(x-4=0),(x^3+27=0):}`
`<=>[(x=0),(x=4),(x=-3):}`
Vậy pt có tập nghiệm `S={-3;0;4}`
Hãy giúp mọi người biết câu trả lời này thế nào?
![]()
Bảng tin