

Hãy luôn nhớ cảm ơn và vote 5*
nếu câu trả lời hữu ích nhé!
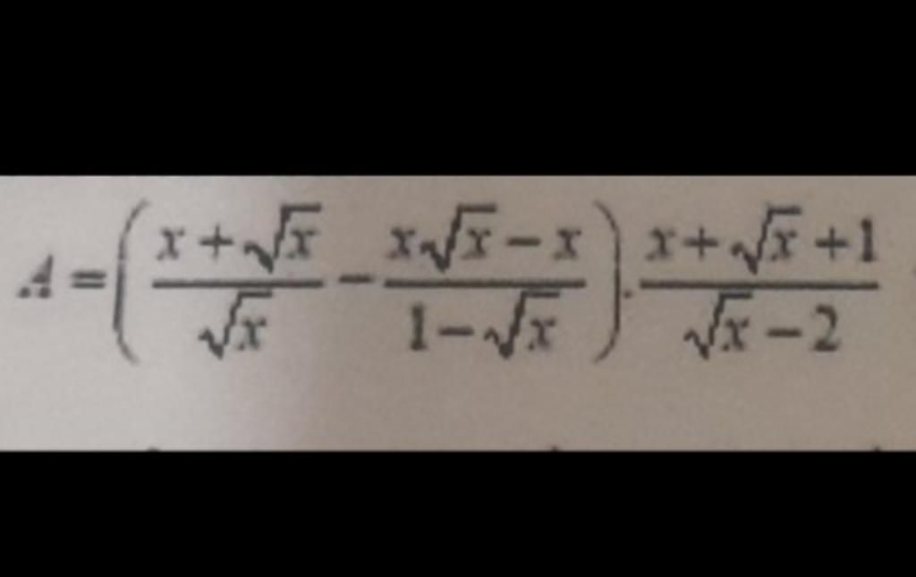
`ĐKXĐ: x>0,xne1,xne4`
`A=((x+sqrt{x})/(sqrt{x})-(xsqrt{x}-x)/(1-sqrt{x})).(x+sqrt{x}+1)/(sqrt{x}-2)`
`=[(sqrt{x}(sqrt{x}+1))/sqrt{x}+(x(sqrt{x}-1))/(sqrt{x}-1)].(x+sqrt{x}+1)/(sqrt{x}-2)`
`=[sqrt{x}+1+x].(x+sqrt{x}+1)/(sqrt{x}-2)`
`=1/(sqrt{x}-2)`
Hãy giúp mọi người biết câu trả lời này thế nào?
`A = ((x + sqrtx)/(sqrtx) - (xsqrtx - x)/(1 - sqrtx)) . (x + sqrtx + 1)/(sqrtx - 2)(x > 0; x ne 1; x ne 4)`
`= [(sqrtx(sqrtx + 1))/sqrtx + (x(sqrtx - 1))/(sqrtx - 1)] . (x + sqrtx + 1)/(sqrtx - 2)`
`= (sqrtx + x + 1) . (sqrtx + x + 1)/(sqrtx - 2)`
`= 1/(sqrtx - 2)`
Hãy giúp mọi người biết câu trả lời này thế nào?
Bảng tin