Vui lòng chỉ chọn một câu hỏi
Hoidap247.com Nhanh chóng, chính xác
+
Danh mục mới
0
90
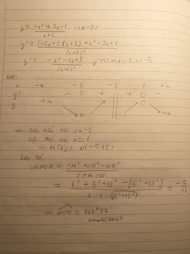
Giả sử M,N theo thứ tự là điểm cực đại, cực tiểu của hàm số y=-x^2+2x-1/x+2, O là gốc toạ độ. Tính giá trị gần đúng của góc MON
Hãy luôn nhớ cảm ơn và vote 5* nếu câu trả lời hữu ích nhé!
8987
661
7204
Giải thích các bước giải:
Hãy giúp mọi người biết câu trả lời này thế nào?
Bảng tin
Gửi yêu cầu Hủy