

Hãy luôn nhớ cảm ơn và vote 5*
nếu câu trả lời hữu ích nhé!
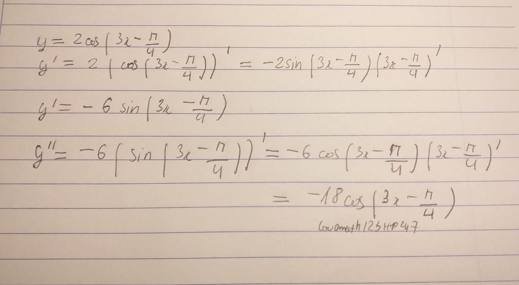
Đáp án:
`y=2cos(3x-pi/4)`
`->y'=[2cos(3x-pi/4)]^' `
`=-2sin(3x-pi/4).(3x-pi/4)^' `
`=-2sin(3x-pi/4).3 `
`=-6sin(3x-pi/4) `
`->y''=[-6sin(3x-pi/4)]^'`
`=-6cos(3x-pi/4).(3x-pi/4)^'`
`=-6cos(3x-pi/4).3`
`=-18cos(3x-pi/4)`
`color{blue}text{_} color{#00CCCC}text{_*:} color{ #00FFFF}text{.。.} color{#02BED8}text{o( }color{#00E4FF}text{• ᴗ •}color{#02BED8}text{ )o}``color{ #00FFFF}text{.。.} color{#00CCCC}text{:*_} color{blue}text{_} `
Hãy giúp mọi người biết câu trả lời này thế nào?
Bảng tin