

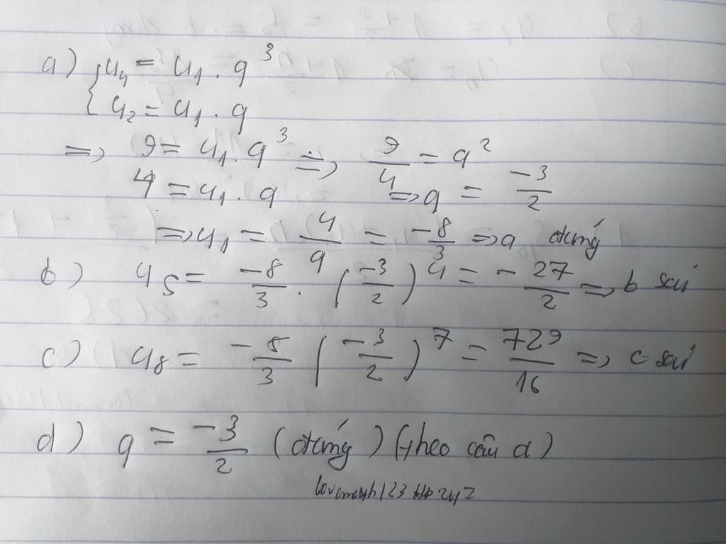
Câu 24. Cho cấp số nhân (Un) với
công bội q < 0 và u2 = 4; u4= 9 Khi dó:
Các mệnh đề sau đúng hay sai?
a) Số hạng đầu u1 = - 8/3
b) Số hạng u5= 27/2
c) - 2187/32 là số hạng thứ 8
d) Cấp số nhân có công bội q = - 3/2
Hãy luôn nhớ cảm ơn và vote 5*
nếu câu trả lời hữu ích nhé!
Đây là câu trả lời đã được xác thực
Câu trả lời được xác thực chứa thông tin chính xác và đáng tin cậy, được xác nhận hoặc trả lời bởi các chuyên gia, giáo viên hàng đầu của chúng tôi.
\begin{array}{c} \color{#db1616}{\texttt{#Khoadang09}} \end{array}
Đáp án:
Giải thích các bước giải:
`{(u_2=4),(u_4=9):}`
`<=>{(u_1.q=4(***)),(u_1.q_3=9):}`
`=>(u_1.q)/(u_1.q_3)=4/9`
`<=>1/q^2 =4/9`
`<=>q^2=9/4`
`<=>`$q=-\dfrac32\ (q<0)$
- Thay `q=-3/2` vào phương trình `(***)` ta có
`u_1.q=4`
`<=>u_1.(-3/2)=4`
`<=>u_1=-8/3`
- Vậy `{(u_1=-8/3),(q=-3/2):}`
`a)` đúng (chứng minh trên)
`b)u_5=u_1.q^4=-8/3.(-3/2)^4=-27/2`
`=>` Sai
`c)u_8=u_1.q^7=-8/3.(-3/2)^7=729/16`
`=>` sai
`d)` đúng (chứng minh trên)
Hãy giúp mọi người biết câu trả lời này thế nào?
![]()
Bảng tin
133
105
105
A ơiii
133
105
105
https://www.mediafire.com/file/maw7a4ffqi12z6s/New+folder.zip/file
133
105
105
Sửa bug hộ em chứ nó bug tumlum
5599
4872
3499
r sao