

Hãy luôn nhớ cảm ơn và vote 5*
nếu câu trả lời hữu ích nhé!
Gọi vận tốc riêng của ca nô là `x` $(km/h,x>0)$
Gọi vận riêng của dòng nước là `y`$(km/h,0<y<x)$
Đổi `2h30=2,5(h)`
`1g20=4/3(h)`
Vận tốc xuôi dòng của ca nô: `x+y` $(km/h)$
Vận tốc ngược dòng của ca nô : `x-y` $(km/h)$
Thời gian ca nô xuôi dòng `12km` là: `12/(x+y)` `(h)`
Thời gian ca nô ngược dòng `12km` là: `12/(x-y)` `(h)`
Vì ca nô xuôi rồi ngược dòng quãng sông `12km` mất `2,5h`
`=>` Phương trình: `12/(x+y)+12/(x-y)=2,5(1)`
Thời gian ca nô xuôi dòng `4km` là: `(h)`
Thời gian ca nô ngược dòng `8km` là: `` `(h)`
Vì ca nô xuôi dòng 4km rồi ngược dòng 8km mất `4/3` giờ
`=>` Phương trình: `4/(x+y)+8/(x-y)=4/3(2)`
Hãy giúp mọi người biết câu trả lời này thế nào?
Đáp án:
Giải thích các bước giải:
Gọi x (km/h) là vận tốc riêng của ca nô ( x > 0)
Gọi y (km/h) là vận tốc riêng của dòng nước ( y > 0)
1h20p = 4/3 giờ, 2h30p = 5/2 giờ
Vận tốc của ca nô khi đi xuôi dòng : x + y (km/h)
Vận tốc của dòng nước khi đi ngược dòng: x- y (km/h)
Thời gian ca nô đi quãng đường 12 km: 12/x+y ( giờ)
Thời gian ca nô đi ngược lại quãng đường 12 km: 12/x-y (giờ)
Vì đề bài nói rằng ca nô mất 5/2 giờ khi đị ngược lại, nên ta có phương trình:
12/x+y + 12/x-y = 5/2 (1)
Thời gian ca nô đi 4km: 4/x+y (giờ)
Thời gian ca nô đi ngược lại là 8km: 8/x+y (giờ)
Vì đề bài cho khi đi ngược dòng thì ca nô mất 4/3 giờ, nên ta có phương trình:
4/x+y + 4/x-y = 4/3 (2)
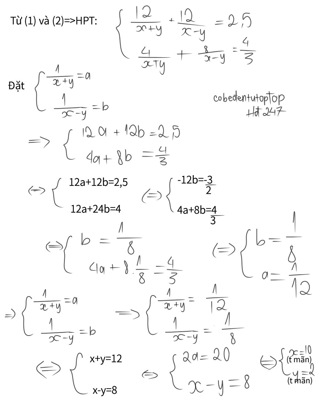
Từ (1) và (2) , ta đc:
a = 1/12 và b = 1/8
Thế a =1/12 và b = 1/8, ta đc:
x =10 (nhận) và y = 2 (nhận)
Vậy vận tốc riêng của ca nô là 10km/h
vận tốc riêng của dòng nước là 2km/h
CHÚC BẠN HỌC TỐT!!!
Hãy giúp mọi người biết câu trả lời này thế nào?
Bảng tin