

Hãy luôn nhớ cảm ơn và vote 5*
nếu câu trả lời hữu ích nhé!
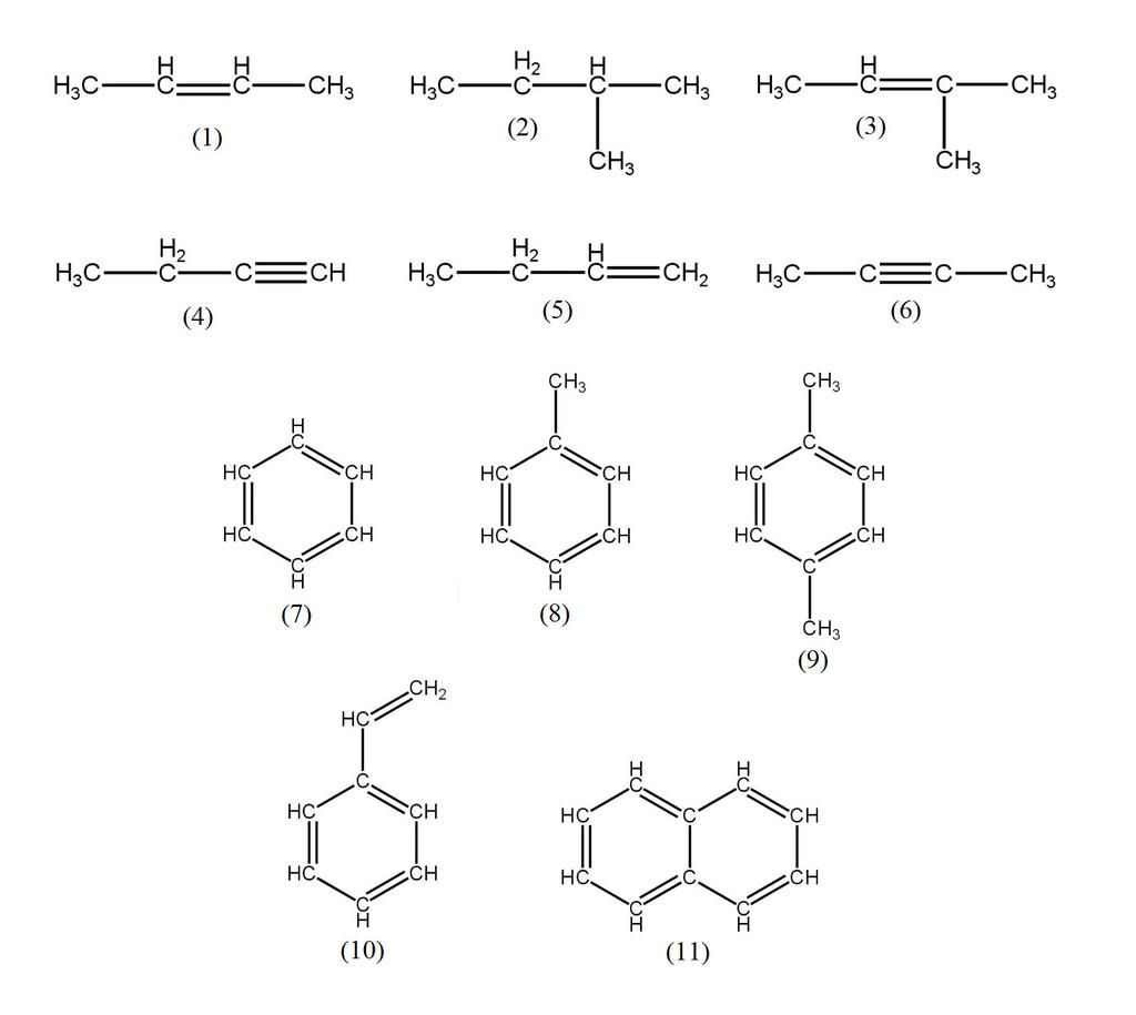
Câu 1:
Tham khảo hình để dễ dàng nhận biết.
$\rm a)$ Sai. Số phân tử thuộc dãy đồng đẳng của benzene bằng $3$, công thức số $(7),(8),(9)$.
Phân tử thuộc dãy đồng đẳng của benzene có dạng: $\rm C_nH_{2n-6}\ (n≥6)$
$\rm b)$ Sai. Số phân tử alkane bằng $1$, công thức số $(2)$.
Phân tử thuộc dãy đồng đẳng của alkane có dạng: $\rm C_nH_{2n+2}\ (n≥1)$
$\rm c)$ Đúng. Công thức số $(1),(3),(5)$.
Phân tử thuộc dãy đồng đẳng của alkene có dạng: $\rm C_nH_{2n}\ (n≥2)$
$\rm d)$ Sai. Số phân tử hydrocarbon không no bằng $10$, trừ công thức số $(2)$.
Để xác định phân tử hydrocarbon no hay không no, ta nhận biết bằng liên kết của nguyên tố carbon trong phân tử hoặc sử dụng công thức độ bão hòa $\rm k$, nếu $\rm k≥1$ thì hydrocarbon đó không no.
Với hydrocarbon $\rm C_xH_y$:
$\rm k=\dfrac{2x+2-y}{2}$
Câu 2:
$\rm a)$ Đúng. Nhóm $\rm C=O $ của $(1)$ bị khử bởi tác nhân $\rm NaBH_4$ hoặc $\rm LiAlH_4$ thành nhóm $\rm CH_2OH$, vì vậy $(1),$ là đóng vai trò là chất oxi hoá.
Hãy giúp mọi người biết câu trả lời này thế nào?
Bảng tin