Vui lòng chỉ chọn một câu hỏi
Hoidap247.com Nhanh chóng, chính xác
+
Danh mục mới
0
25
Giải giúp mình bài toán này với ạ
Hãy luôn nhớ cảm ơn và vote 5* nếu câu trả lời hữu ích nhé!
10
4
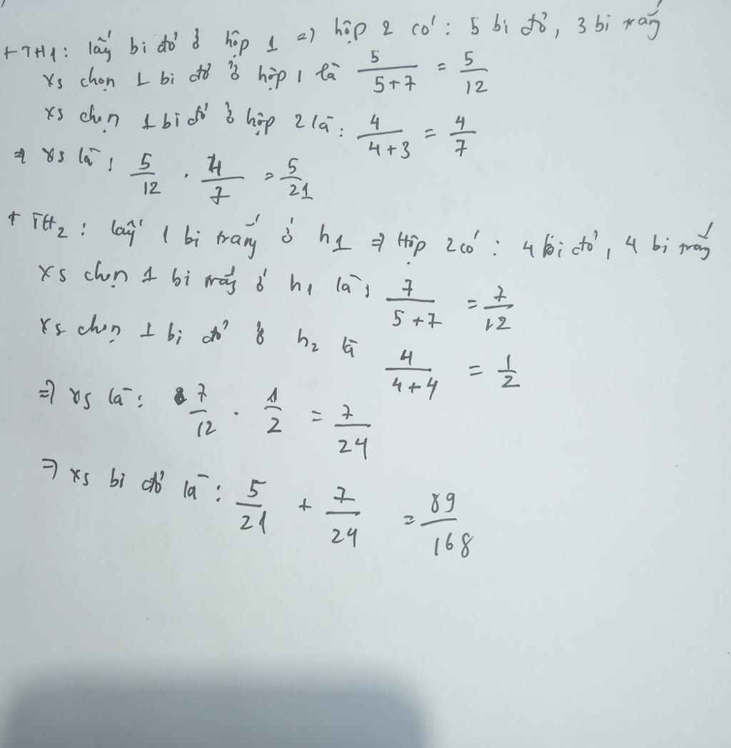
Đáp án:
Giải thích các bước giải:
Hãy giúp mọi người biết câu trả lời này thế nào?
564
7552
237
Đáp án+Giải thích các bước giải:
Ảnh
Bảng tin
Gửi yêu cầu Hủy