Vui lòng chỉ chọn một câu hỏi
Hoidap247.com Nhanh chóng, chính xác
+
Danh mục mới
0
45
Mọi người giúp em câu này với ạ.Em cảm ơn!
Hãy luôn nhớ cảm ơn và vote 5* nếu câu trả lời hữu ích nhé!
564
7552
237
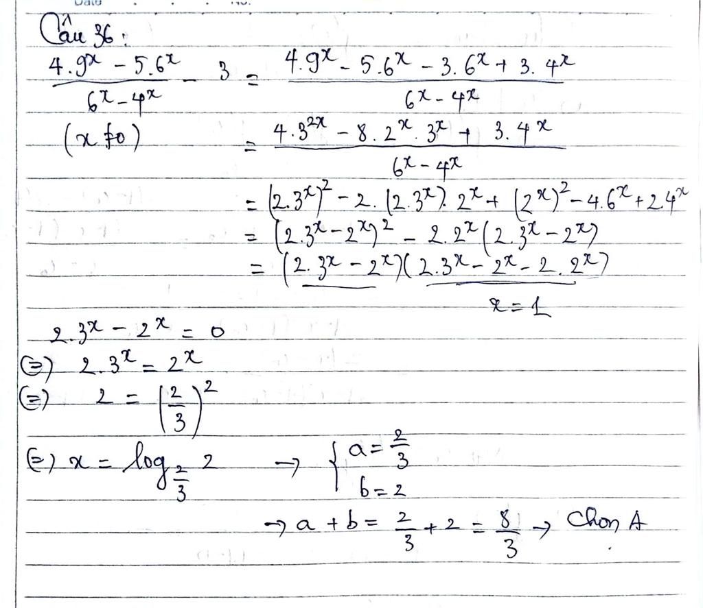
Đáp án+Giải thích các bước giải:
Ảnh
Hãy giúp mọi người biết câu trả lời này thế nào?
Bảng tin
Gửi yêu cầu Hủy