Đăng nhập để hỏi chi tiết


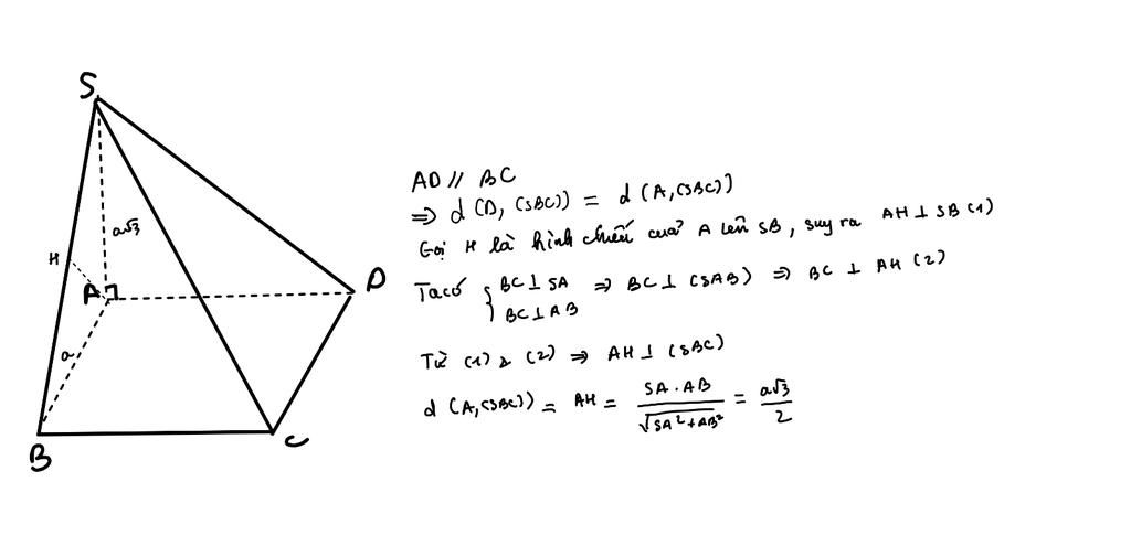
Cho hình chóp S.ABCD có đáy ABCD là hình vuông cạnh a, cạnh bên SA vuông góc với đáy và SA = a căn 3. Khoảng cách từ D đến mặt phẳng (SBC) bằng ?
Giải chi tiết giúp mình với ạ .Mình cảm ơn.
Hãy luôn nhớ cảm ơn và vote 5*
nếu câu trả lời hữu ích nhé!
Bảng tin