Đăng nhập để hỏi chi tiết


Hãy luôn nhớ cảm ơn và vote 5*
nếu câu trả lời hữu ích nhé!
Đáp án:
Giải thích các bước giải:
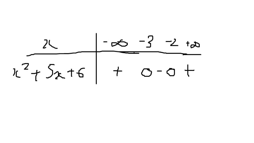
x²+5x+6<0
=>(x+2)(x+3)<0
vì x+2<x+3
=>x+3>0
x+2<=
=>-3<x<-2
vậy bất phương trình có no là -3<x<-2
chúc bn hok tốt
Hãy giúp mọi người biết câu trả lời này thế nào?
Đáp án:
Bài này có hai cách lập bảng hoặc bấm máy tính nhé bạn
x² + 5x+ 6 < 0
Vì x² + 5x + 6 < 0
Nên S = ( -3 ; -2 )
Giải thích các bước giải:
Hãy giúp mọi người biết câu trả lời này thế nào?
Đáp án:
$ -3 <x< -2$
Giải thích các bước giải:
$x^2+ 5x+6 <0$
⇔ $( x+2)(x+3)<0$
⇔ $ -3 <x< -2$
Bảng tin