

Có bao nhiêu giá trị nguyên của tham số m nhỏ hơn 2024 để hàm số y= -1/3x^3+x^2-mx+1 nghịch biến trên khoảng (0;dương vô cùng) (mn giải chi tiết giúp mik nhé c.ơn)
Hãy luôn nhớ cảm ơn và vote 5*
nếu câu trả lời hữu ích nhé!

Đây là câu trả lời đã được xác thực
Câu trả lời được xác thực chứa thông tin chính xác và đáng tin cậy, được xác nhận hoặc trả lời bởi các chuyên gia, giáo viên hàng đầu của chúng tôi.
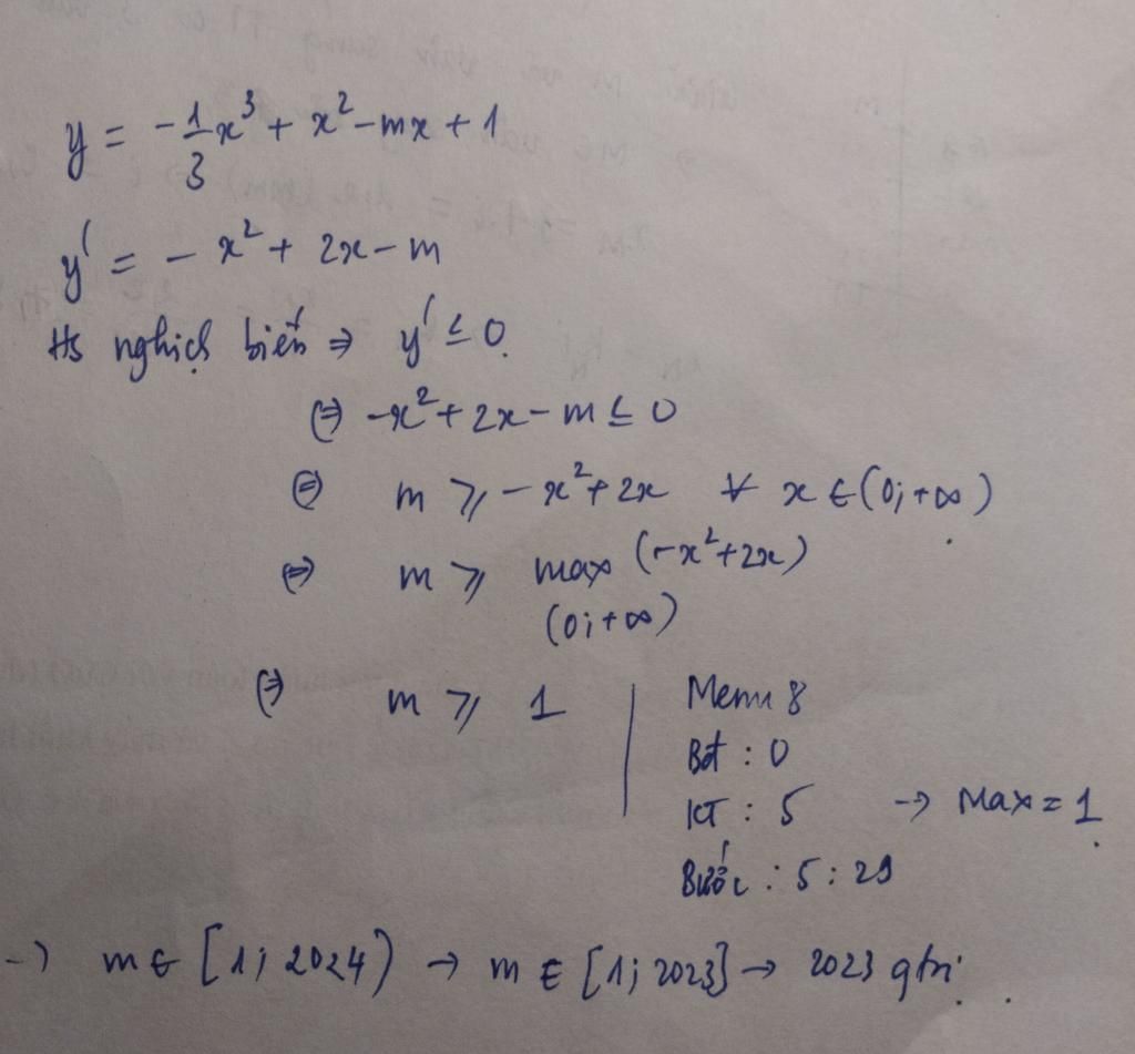
Đáp án: $2023$ giá trị
Giải thích các bước giải:
Ta có:
$y'=(-\dfrac13x^3+x^2-mx+1)'=-x^2+2x-m$
Để hàm số $y=-\dfrac13x^3+x^2-mx+1$ nghịch biến trên $(0,+\infty)$
$\to -x^2+2x-m\le 0,\quad\forall x\in(0,+\infty)$
$\to\Delta'\le 0$ hoặc $\begin{cases}\Delta'>0\\x_1<x_2\le 0\end{cases}$
Giải $\Delta'\le 0\to 1-m\le 0\to m\ge 1$
Giải $\begin{cases}\Delta'>0\\x_1<x_2\le 0\end{cases}$
$\to \begin{cases}1-m>0\\S<0\\P\ge 0\end{cases}$
$\to \begin{cases}1-m>0\\2<0\\m\ge 0\end{cases}$
$\to \begin{cases}m<1\\2<0\\m\ge 0\end{cases}$ vô lý
$\to m\in[1,+\infty)$
$\to$Số lượng $m$ thỏa mãn là $\dfrac{2023-1}{1}+1=2023$
Hãy giúp mọi người biết câu trả lời này thế nào?
Bảng tin