

Hãy luôn nhớ cảm ơn và vote 5*
nếu câu trả lời hữu ích nhé!
Đáp án:
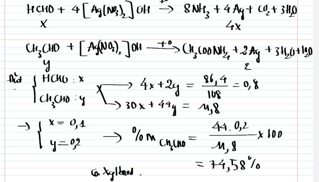
$\rm n_{Ag}=\dfrac{86,4}{108}=0,8\ (mol)$
Gọi a, b lần lượt là số mol của aldehyde formic và aldehyde acetic.
$\rm (1)\ 30a+44b=11,8\ (g)$
Phản ứng xảy ra:
$\rm HCHO + 4[Ag(NH_3)_2]OH \xrightarrow{t^°}( NH_4)_2CO_3+4Ag + 6NH_3 +2H_2O\\CH_3CHO+2[Ag(NH_3)_2]OH\xrightarrow{t^°}CH_3COONH_4+2Ag+3NH_3+H_2O$
Theo phương trình:
$\rm (2)\ 4a+2b=0,8\ (mol)$
Giải $(1),(2)$ được: $\begin{cases}\rm a=0,1\\\rm b=0,2\end{cases}$
$\rm\%m_{CH_3CHO}=\dfrac{0,2×44}{11,8}×100\%=74,58\%$
Hãy giúp mọi người biết câu trả lời này thế nào?
![]()
Bảng tin
642
293
648
Chỗ pt chỗ 2Ag ở dưới mình ghi thiếu chữu y nhé
51
559
28
Ok b
3228
272
2859
hihi