

Hãy luôn nhớ cảm ơn và vote 5*
nếu câu trả lời hữu ích nhé!
Đáp án + Giải thích các bước giải:
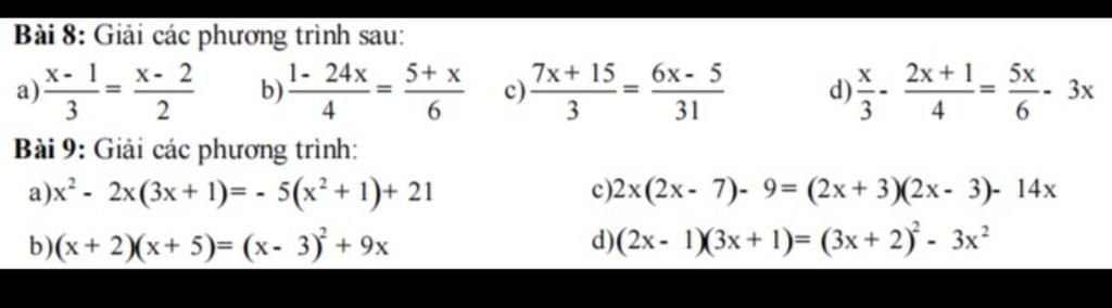
Bài `8 :`
`a,`` (x - 1)/3 = (x - 2)/2`
`=> 2``(x -` `1) =` `3(x` `- 2)`
`=> 2x` `- 2 =`` 3x - 6`
`=> 2x` `- 3x =` `-6 + 2`
`=>` `-x = -4`
`=>` `x = -4`
`b,`` (1 - 24x)/4 = (5 + x)/6`
`=> (``1 - 24x``)6 =` `4(5` `+ x)`
`=> 6` `- 144x =` `20 + 4x`
`=> -144x` `- 4x =` `20 - 6`
`=>`` -148x = 14`
`=>` `x = (-7)/74`
`c,`` (7x + 15)/3 = (6x - 5)/31`
`=> (``7x + 15``) 31 =` `3(6x` `- 5)`
`=> 217x` `+ 465 =` `18x - 15`
`=> 217x`` - 18x =` `-15 - 465`
`=>` `199x = -480`
`=>`` x = (-480)/199`
`d, x/3` `- (2x + 1)/4 =` `(5x)/6 - 3x`
`=> 8x` `- 6(``2x + 1``) = 4` `. 5x -` `24 . 3x`
`=>` `8x - 12x`` - 6 =` `20x - 72x`
`=> -4x` `- 20x +` `72x = 6`
`=>` `48x = 6`
`=>` `x = 1/8`
`_` `_` `_` `_` `_`
`color{pink}{\text{#Thu2tuoi}}`
Hãy giúp mọi người biết câu trả lời này thế nào?
Bảng tin