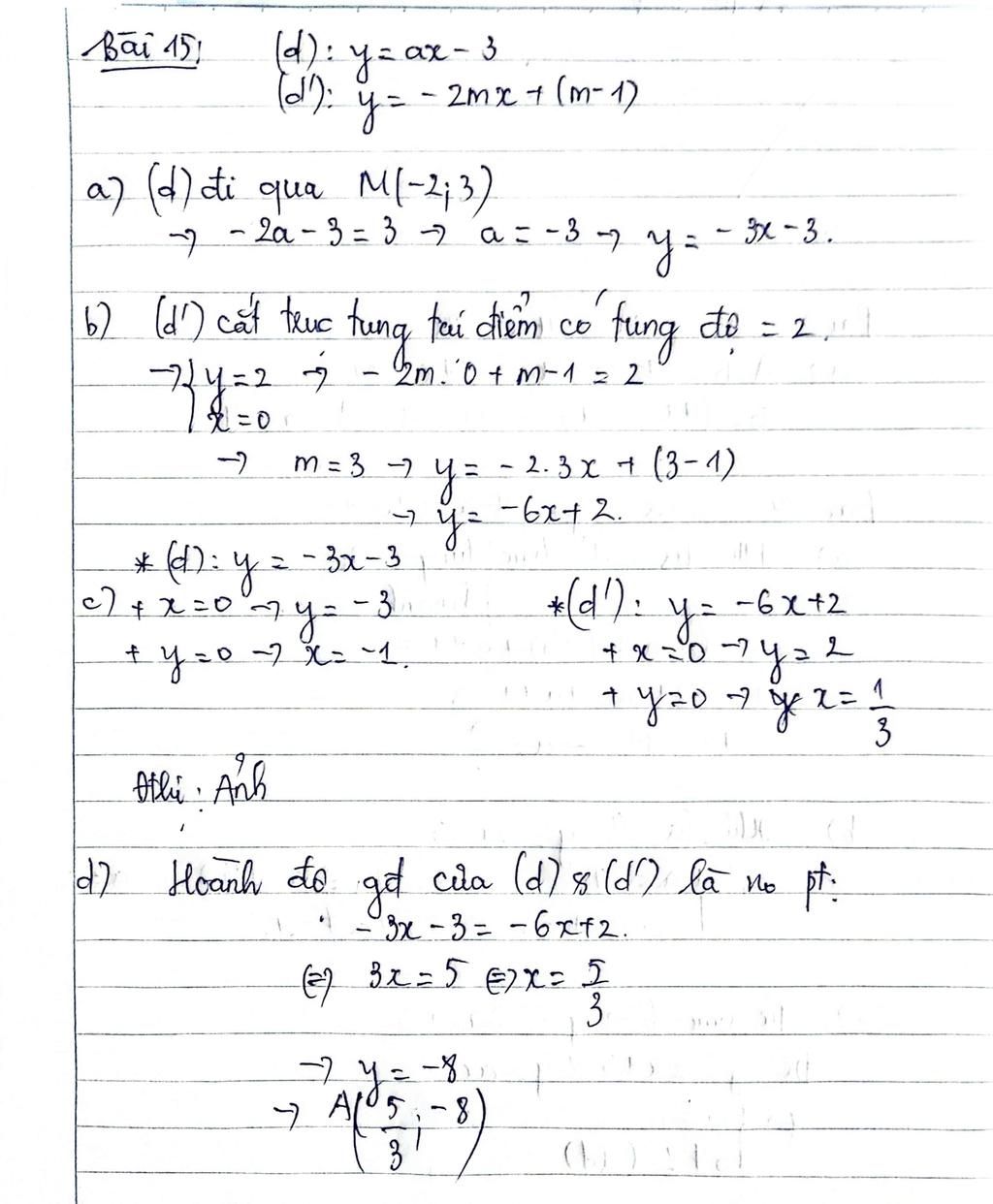
Tham Gia Group Dành Cho Lớp 8 Chia Sẻ, Trao Đổi Tài Liệu Miễn Phí
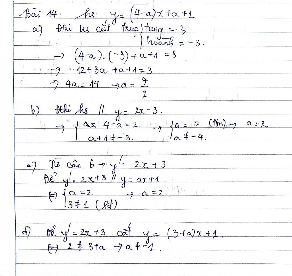
Bài 14. Cho hàm số: y=(4-a)x+a+1
a) Tìm giá trị của a, biết đồ thị cắt trục tung tại điểm có tung độ bằng 3 và cắt trục hoành
tại điểm có hoành độ bằng −3.
b) Tìm giá trị của a, biết đồ thị song song với đường thẳng y=2x−3.
c) Tìm a để đồ thị hàm số ở ý b) song song với đường thẳng y=a ...