Vui lòng chỉ chọn một câu hỏi
Hoidap247.com Nhanh chóng, chính xác
+
Danh mục mới
0
60
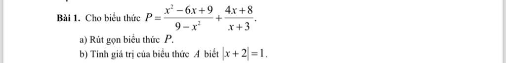
Giúp mình vs làm câu b thoii cũng đc
Bảng tin
Gửi yêu cầu Hủy