

Một bó hoa có 5 hoa trắng 6 đỏ và 4 vàng.Hỏi có bao nhiêu cách chọn 3 bông hoa sao cho:
a.Đủ 3 màu
b.Ít nhất 1 đỏ
c.Có 1 bông vàng
Hãy luôn nhớ cảm ơn và vote 5*
nếu câu trả lời hữu ích nhé!
Đáp án + Giải thích các bước giải:
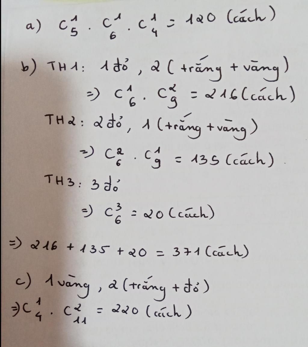
`a)`
Số cách để chọn đủ `3` bông hoa có `3` màu là:
`5.6.4 = 120` (cách)
`b)`
`TH1:` `1` đỏ, `2` trắng: `C_6^1 . C_5^2 = 60`(cách)
`TH2:` `1` đỏ, `2` vàng: `C_6^1 . C_4^2 = 36` (cách)
`TH3:` `1` đỏ, `1` vàng, `1` trắng: `120` (cách)
`TH4:` `2` đỏ, `1` vàng: `C_6^2 . C_4^1 = 60` (cách)
`TH5:` `2` đỏ, `1` trắng: `C_6^2 . C_5^1 = 75` (cách)
`TH6:` `3` đỏ: `C_6^3 = 20` (cách)
`=>` Tổng số cách chọn có ít nhất `1` đỏ là: `60 + 36 + 120 + 60 + 75 + 20 = 371` (cách)
`c)`
`TH1:` `1` vàng, `2` đỏ: `C_4^1 . C_6^2 = 60` (cách)
`TH2:` `1` vàng, `2` trắng: `C_4^1 . C_5^2 = 40` (cách)
`=>` Số cách chọn `1` bông vàng là: `60 + 40 = 100` (cách)
Hãy giúp mọi người biết câu trả lời này thế nào?

Bảng tin
2
190
1
Câu c Bạn ko lm trường hợp 1 vàng,1 đỏ,1 trắng ạ
4472
943
3800
sory để mik thíu để sửa lại nha
4472
943
3800
Sửa: `c)` `TH1:` `1` vàng, `2` đỏ: `C_4^1 . C_6^2 = 60` (cách) `TH_2` : `1` vàng, `2` trắng: `C_4^1 . C_5^2 = 40` (cách) `TH3:` `1` vàng, `1` đỏ, `1` trắng: `C_4^1 . C_6^1 . C_5^1 = 120` (cách) `=>` Số cách chọn `1` bông vàng là `60 + 40 + 120 = 220` (cách) Rút gọnSửa: `c)` `TH1:` `1` vàng, `2` đỏ: `C_4^1 . C_6^2 = 60` (cách) `TH_2` : `1` vàng, `2` trắng: `C_4^1 . C_5^2 = 40` (cách) `TH3:` `1` vàng, `1` đỏ, `1` trắng: `C_4^1 . C_6^1 . C_5^1 = 120` (cách) `=>` Số cách chọn `1` bông vàng là `60 + 40 + 120 = 220` ... xem thêm
119
1220
118
à bn ơi cho mh hỏi hoán vị mh dùng khi nào v
4472
943
3800
mik dùng hoán vị cho sắp xếp mà có theo thứ tự á