Vui lòng chỉ chọn một câu hỏi
Hoidap247.com Nhanh chóng, chính xác
+
Danh mục mới
0
50
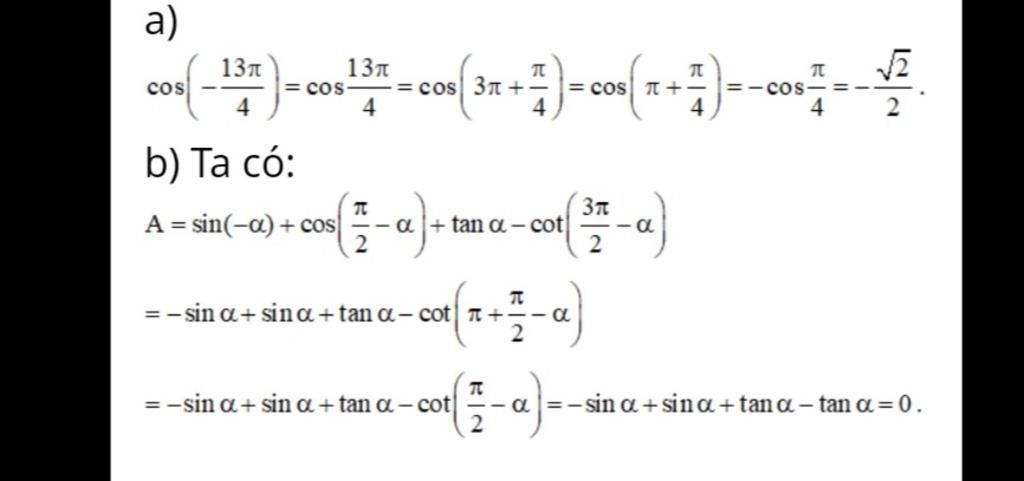
Cho em hỏi vì sao cot(3pi/2 - a)= cot(pi+pi/2-a) mà sau đó lại = cot(pi/2 -a) ạ
Bảng tin
Gửi yêu cầu Hủy