Đăng nhập để hỏi chi tiết


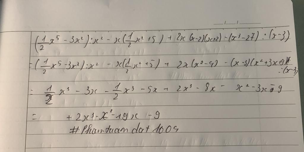
Rut gon bieu thuc sau (1/2x^5 - 3x^2 ) : x^2 - x ( 1/2x^2 + 5) + 2x( x- 2)( x+ 2) - (x^3 - 27 ) : ( x- 3 )
Hãy luôn nhớ cảm ơn và vote 5*
nếu câu trả lời hữu ích nhé!
Đáp án:
Giải thích các bước giải:
( 5/2x-6x):2x-(x^5/2)+(x^5)+(x^2)+(2^-2)-(x^3-27):(x-3)
(2,5:2x)+(6x:2x)-2,5x+5x+2x mũ 2 -4x+2x-2-x-3
1,25x+3x-7,5x+2x mũ 2 -4x+2x-x-3
-3,25x+ 2x mũ 2-3x-3
(-3,25x-3x)+2x mũ 2 -3
-6,25x+2x mũ 2 -3
2x mũ 2-6,25x-3
Hãy giúp mọi người biết câu trả lời này thế nào?
Bảng tin