

Hãy luôn nhớ cảm ơn và vote 5*
nếu câu trả lời hữu ích nhé!
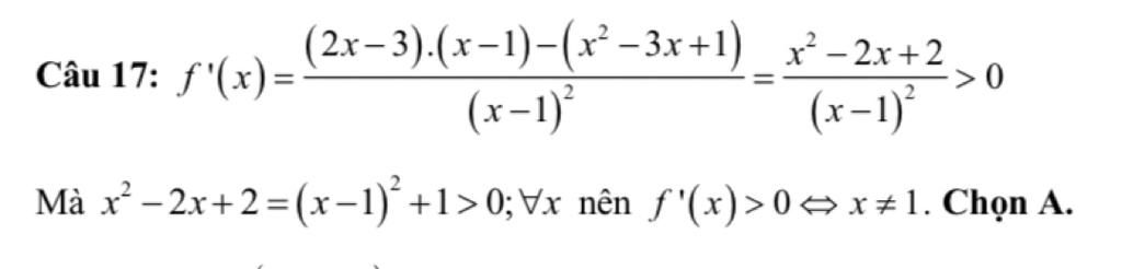
Đáp án:`+`Giải thích các bước giải:
`f'(x)=((2x-3)(x-1)-(x^2-3x+1))/(x-1)^2`
`f'(x)=(2x^2-2x-3x+3-x^2+3x-1)/(x-1)^2`
`f'(x)=(x^2-2x+2)/(x-1)^2`
Mà `x^2-2x+2=x^2-2x+1+1=(x-1)^2+1`
Mà `(x-1)^2>=0AAx` `=>(x-1)^2+1>0AAx`
`=>f'(x)>0=>(x-1)^2>0`
`<=>x-1 ne 0`
`<=>x ne 1`
Vậy `x ne 1`
Hãy giúp mọi người biết câu trả lời này thế nào?
![]()
Bảng tin
162
5948
72
Tại sao mk ko giải cả (x^2 -2x +2)/(x-1)^2 >0 nhỉ
1954
288
1154
Phân tích từng cái ra chứ, giải cả bạn nghĩ giải kiểu gì?