

Hãy luôn nhớ cảm ơn và vote 5*
nếu câu trả lời hữu ích nhé!

Đáp án:
1. Xuất hiện kết tủa màu trắng, dung dịch bromine nhạt màu da cam, sau đó kết tủa trắng chuyển sang màu vàng.
2. Xuất hiện chất rắn màu vàng trong bình đun.
3. $Cu(OH)_2$ bị hoà tan tạo ra dung dịch màu xanh lam.
$2C_2H_6O_2+Cu(OH)_2\to (C_2H_5O_2)_2Cu+2H_2O$
4. $Cu(OH)_2$ bị hoà tan tạo ra dung dịch màu xanh lam.
$2C_3H_8O_3+Cu(OH)_2\to (C_3H_7O_3)_2Cu+2H_2O$
5. Có lớp chất rắn màu bạc bám trong ống nghiệm.
$CH_3CHO+2AgNO_3+3NH_3+H_2O\to CH_3COONH_4+2NH_4NO_3+2Ag$
6. Có lớp chất rắn màu bạc bám trong ống nghiệm.
$C_2H_5CHO+2AgNO_3+3NH_3+H_2O\to C_2H_5COONH_4+2NH_4NO_3+2Ag$
7. Xuất hiện chất rắn màu đỏ gạch.
$CH_3CHO+2Cu(OH)_2+NaOH\to CH_3COONa+Cu_2O+3H_2O$
8. Xuất hiện chất rắn màu đỏ gạch.
$C_2H_5CHO+2Cu(OH)_2+NaOH\to C_2H_5COONa+Cu_2O+3H_2O$
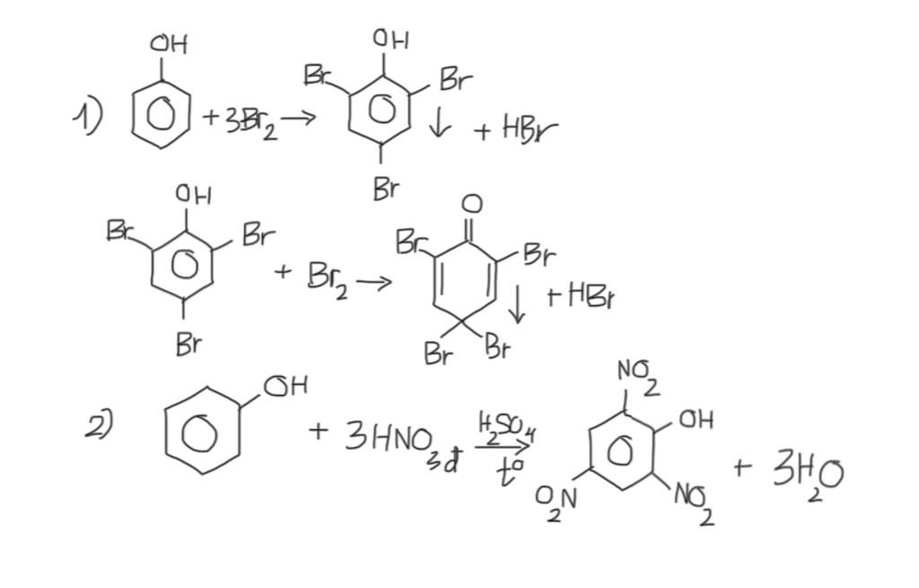
(PTHH 1, 2 như dưới)
Hãy giúp mọi người biết câu trả lời này thế nào?
Bảng tin