Vui lòng chỉ chọn một câu hỏi
Hoidap247.com Nhanh chóng, chính xác
+
Danh mục mới
166
1150
155
Hãy luôn nhớ cảm ơn và vote 5* nếu câu trả lời hữu ích nhé!
877
25764
1246
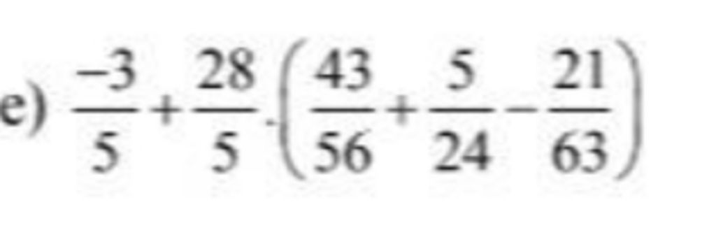
$\frac{-3}{5}$ +$\frac{28}{5}$+($\frac{43}{56}$+$\frac{5}{24}$-$\frac{21}{63}$)
=$\frac{-3}{5}$ +$\frac{28}{5}$. $\frac{9}{14}$
=$\frac{-3}{5}$ +$\frac{18}{5}$
= 3
bài này mik tự làm có gì sai bạn thông cảm nhé
Hãy giúp mọi người biết câu trả lời này thế nào?
thế cái trong ngoặc qui đồng ah
cái trong ngoặc quy đồng rồi tính
thế có phải đổi 21/63 thành -21/63 ko
Bảng tin
Gửi yêu cầu Hủy
166
1150
155
thế cái trong ngoặc qui đồng ah
877
25764
1246
cái trong ngoặc quy đồng rồi tính
166
1150
155
thế có phải đổi 21/63 thành -21/63 ko