

Hãy luôn nhớ cảm ơn và vote 5*
nếu câu trả lời hữu ích nhé!
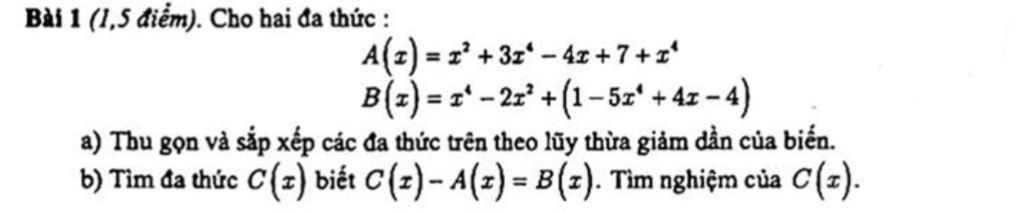
`a)`
`A(x)=x^2+3x^4-4x+7+x^4`
`=(3x^4+x^4)+x^2-4x+7`
`=4x^4+x^2-4x+7`
`B(x)=x^4-2x^2+(1-5x^4+4x-4)`
`=x^4-2x^2+1-5x^4+4x-4`
`=(x^4-5x^4)-2x^2+4x+(1-4)`
`=-4x^4-2x^2+4x-3`
`b)`
`C(x)-A(x)=B(x)`
`C(x)=B(x)+A(x)`
`C(x)=(-4x^4-2x^2+4x-3)+(4x^4+x^2-4x+7)`
`=-4x^4-2x^2+4x-3+4x^4+x^2-4x+7`
`=(-4x^4+4x^4)-(2x^2-x^2)+(4x-4x)+(-3+7)`
`=-x^2+4`
Để `C(x)` có nghiệm thì `C(x)=0`
`-x^2+4=0`
`-x^2=-4`
`x^2=4`
`x=2`
Hãy giúp mọi người biết câu trả lời này thế nào?
Bài `1 :`
`a)`
`A(x) = x^2 + 3x^4 - 4x + 7 + x^4`
`= 4x^4 + x^2 - 4x + 7`
`B(x) = x^4 - 2x^2 + ( 1 - 5x^4 + 4x - 4 )`
`= x^4 - 2x^2 + 1 - 5x^4 + 4x - 4`
`= -4x^4 - 2x^2 + 4x - 3`
`b)`
`C(x) - A(x) = B(x)`
`C(x) = B(x) + A(x)`
`= ( -4x^4 - 2x^2 + 4x - 3 ) + ( 4x^4 + x^2 - 4x + 7 )`
`= -4x^4 - 2x^2 + 4x - 3 + 4x^4 + x^2 - 4x + 7`
`= -x^2 + 4`
`C(x) = 0 => -x^2 + 4 = 0`
`=> -x^2 = -4`
`=> x^2 = 4`
`=> x^2 = ( ± 2)^2`
`=> x = ± 2`
Hãy giúp mọi người biết câu trả lời này thế nào?
Bảng tin