Vui lòng chỉ chọn một câu hỏi
Hoidap247.com Nhanh chóng, chính xác
+
Danh mục mới
0
2840
Hãy luôn nhớ cảm ơn và vote 5* nếu câu trả lời hữu ích nhé!
873
282
534
Đáp án:
Giải thích các bước giải:
Hãy giúp mọi người biết câu trả lời này thế nào?
1632
24920
1450
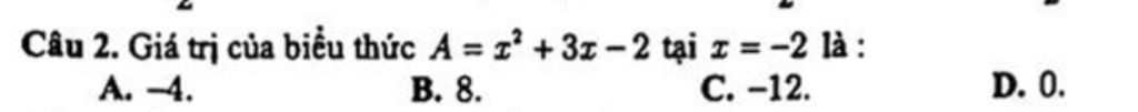
`A=x^2+3.(-2)-2`
`A=4-6-2`
`A=-4`
`=>` Đáp án: `A`
Bảng tin
Gửi yêu cầu Hủy