Đăng nhập để hỏi chi tiết


Hãy luôn nhớ cảm ơn và vote 5*
nếu câu trả lời hữu ích nhé!
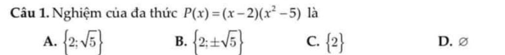
`->` `B`
`P(x)=(x-2)(x^2-5)`
`=>` `[(x-2=0),(x^2-5=0):}`
`=>` `[(x=0+2),(x^2=0+5):}`
`=>` `[(x=2),(x^2=5):}`
`=>` `[(x=2),(x=+-\sqrt(5)):}`
Vậy `x \in {2;+-5}`
`@embesiumap`
Hãy giúp mọi người biết câu trả lời này thế nào?
Bảng tin