

Hãy luôn nhớ cảm ơn và vote 5*
nếu câu trả lời hữu ích nhé!
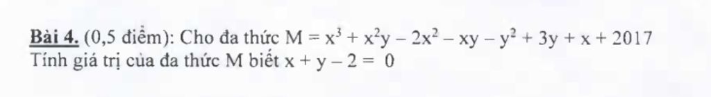
`M = x^3 + x^2y - 2x^2 - xy - y^2 + 3y + x + 2017`
`M = (x^3 + x^2y - 2x^2) + [xy + y^2 - (3y - y)] + (x + y - 2) + 2017 + 2`
`M = x^2 (x + y - 2) - y (-x - y + 2) + (x + y - 2) + 2019`
Thay `x + y - 2 = 0` vào M, ta có:
`M = x^2 . 0 - y . 0 + 0 + 2019`
`M = 2019`
Hãy giúp mọi người biết câu trả lời này thế nào?
Đáp án `+` Giải thích các bước giải:
`M = x^3 + x^2y - 2x^2 - xy - y^2 + 3y + x + 2017`
`= (x^3 + x^2y -2x^2) + [ xy + y^2 - (3y - y)] + (x+y-2) + 2017 + 2`
`= x^2(x +y - 2) + (xy + y^2 -2y) + (x+y-2) + 2019`
`= x^2(x+y-2) +y(x+y -2) + (x+y-2) + 2019`
Thay `x+y-2 = 0` vào biểu thức `M` ta được :
`M = x^2 . 0 + y . 0 + 0 + 2019`
`= 2019`
Vậy giá trị của `M = 2019` với `x+y-2 = 0`
`color{#ffc0db}{ng}color{#ffdada}{oc}color{#ffebd6}{anh}color{#fff7e1}{ngu}color{#d6f9ff }{yen}color{#afeeee}{6860}`
Hãy giúp mọi người biết câu trả lời này thế nào?
Bảng tin