Đăng nhập để hỏi chi tiết


Hãy luôn nhớ cảm ơn và vote 5*
nếu câu trả lời hữu ích nhé!
$\color{green}{\triangleright \triangleright\texttt{LuKieBoy} \color{pink}{\texttt{SK} \triangleleft \triangleleft}}$
Đáp án+Giải thích các bước giải:
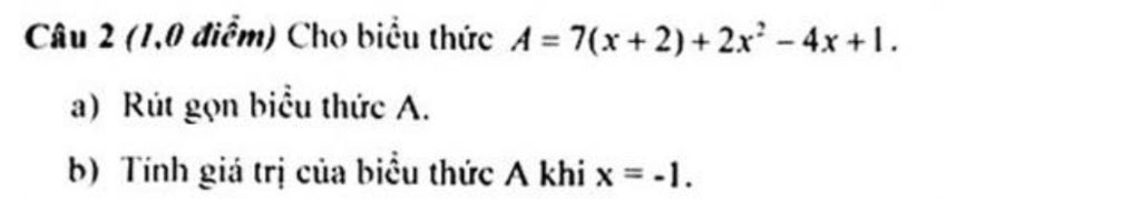
`a)A=7(x+2)+2x^2 -4x+1`
`=7x+14+2x^2-4x+1`
`=2x^2+7x-4x+14+1`
`=2x^2 +3x+15`
`b)` Thay `x=-1` vào `A`
`⇒A=2·(-1)^2 +3·(-1)+15`
`=2+(-3)+15`
`=14`
Vậy `A=14`
Hãy giúp mọi người biết câu trả lời này thế nào?
Bảng tin