

Hãy luôn nhớ cảm ơn và vote 5*
nếu câu trả lời hữu ích nhé!
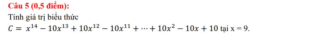
Ta có: `C = x^14 - 10x^13 + 10x^12 - 10x^11 + ... + 10x^2 - 10x + 10`
`= x^14 - 10 (x^13 - x^12 + x^11 - ... - x^2 + x - 1)`
Ta có: `x = 9 => x + 1 = 10`
Thay `x + 1 = 10` vào C, ta có:
`C = x^14 - (x + 1) (x^13 - x^12 + x^11 - ... - x^2 + x - 1)`
`C = x^14 - [(x^14 - x^13 + x^12 - ... - x^3 + x^2 - x) + (x^13 - x^12 + x^11 - ... - x^2 + x - 1)]`
`C = x^14 - [x^14 - x^13 + x^12 - ... - x^3 + x^2 - x + x^13 - x^12 + x^11 - ... - x^2 + x - 1]`
`C = x^14 - x^14 + x^13 - x^12 + ... + x^3 - x^2 + x - x^13 + x^12 - x^11 + ... + x^2 - x + 1`
`C = (x^14 - x^14) + (x^13 - x^13) + (x^12 - x^12) + (x^11 - x^11) + ... + (x^3 - x^3) + (x^2 - x^2) + (x - x) + 1`
`C = 1`
Hãy giúp mọi người biết câu trả lời này thế nào?
`\color{#1c1c1c}{ccI}^(\color{#363636}{t}^(\color{#4f4f4f}{s}^(\color{#696969}{m}^(\color{#828282}{e}^(\color{#9c9c9c}{ccF}^(\color{#b5b5b5}{r}^(\color{#cfcfcf}{e}^\color{#eee9e9}{d})))))))`
Vì `x = 9` nên `x + 1 = 10`
Ta có:
`C = x^14 - 10x^13 + 10x^12 - 10x^11 + ... + 10x^2 - 10x + 10`
`C = x^14 - (x + 1)x^13 + (x + 1)x^12 - (x + 1)x^11 + ... + (x + 1)x^2 - (x + 1)x + (x + 1)`
`C = x^14 - x^14 - x^13 + x^13 + x^12 - x^12 - x^11 + ... + x^3 + x^2 - x^2 - x + x + 1`
`C = 1`
Vậy: `C = 1` tại `x = 9`
Hãy giúp mọi người biết câu trả lời này thế nào?
Bảng tin
5756
1148
3423
Làm tốt lắm anh bạn
3579
2885
1746
Tí nữa mới xử lí sau, tắt bình luận xử lí cho dễ ^-^
5756
1148
3423
Chán chả buồn nói
5756
1148
3423
._. nhìn quả 30 cái tb chján